Fig. 21

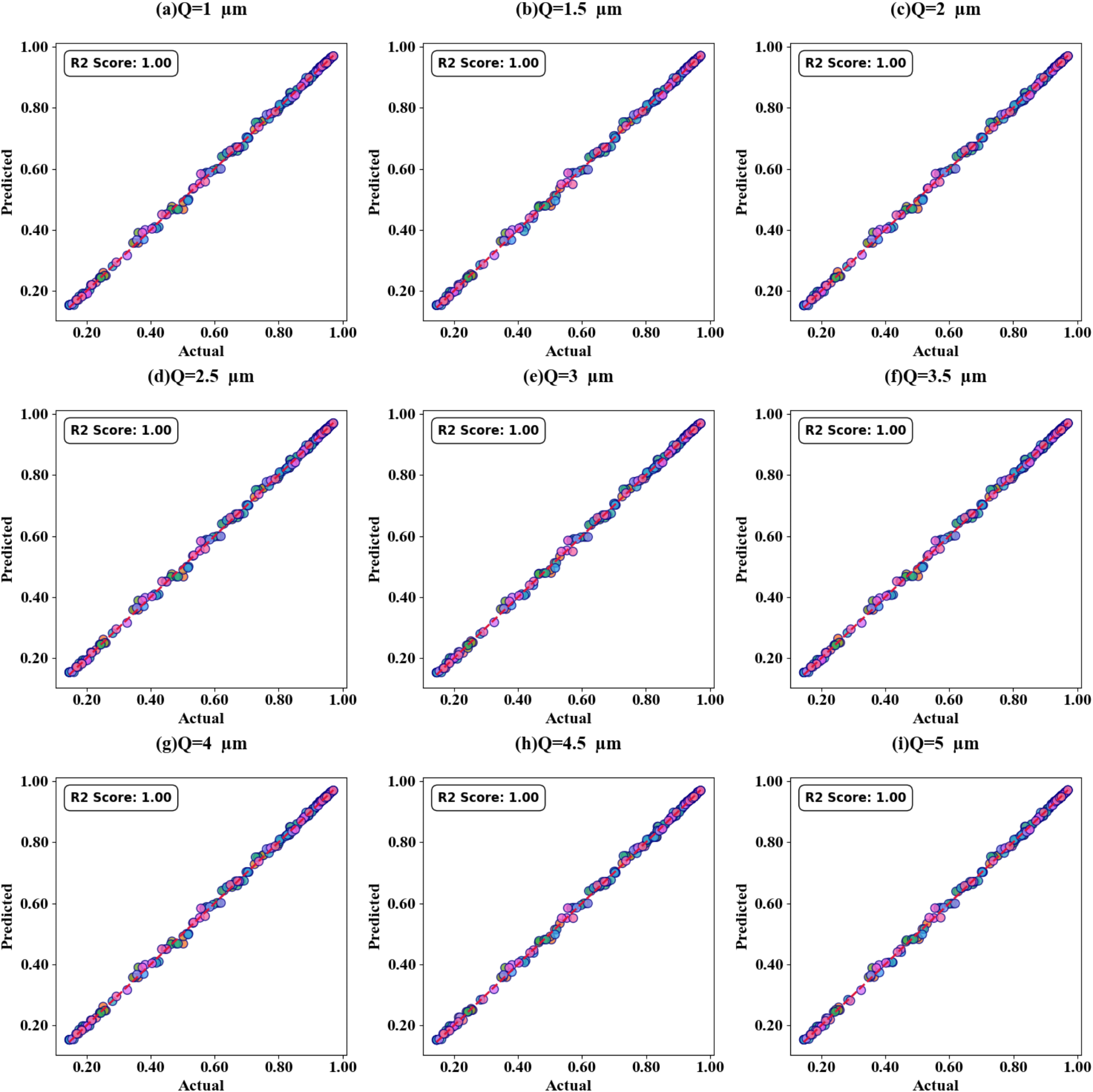
SPs illustrating the comparison between actual and predicted absorption values demonstrating the high accuracy of the LOWESS regressor for the variation of the Length of H shaped resonator.

SPs illustrating the comparison between actual and predicted absorption values demonstrating the high accuracy of the LOWESS regressor for the variation of the Length of H shaped resonator.