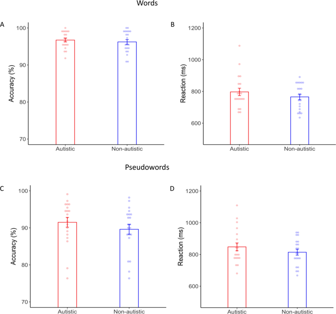
Fig. 2
From: Neural correlates of reading aloud on the autism spectrum

Accuracy and RT responses to words (A and B) and pseudowords (C and D) between groups. Groups were not significantly different in either accuracy or RT measures. Dots represent individual participant data points.