Fig. 5
From: Virgin and photo-degraded microplastics induce the activation of human vascular smooth muscle cells

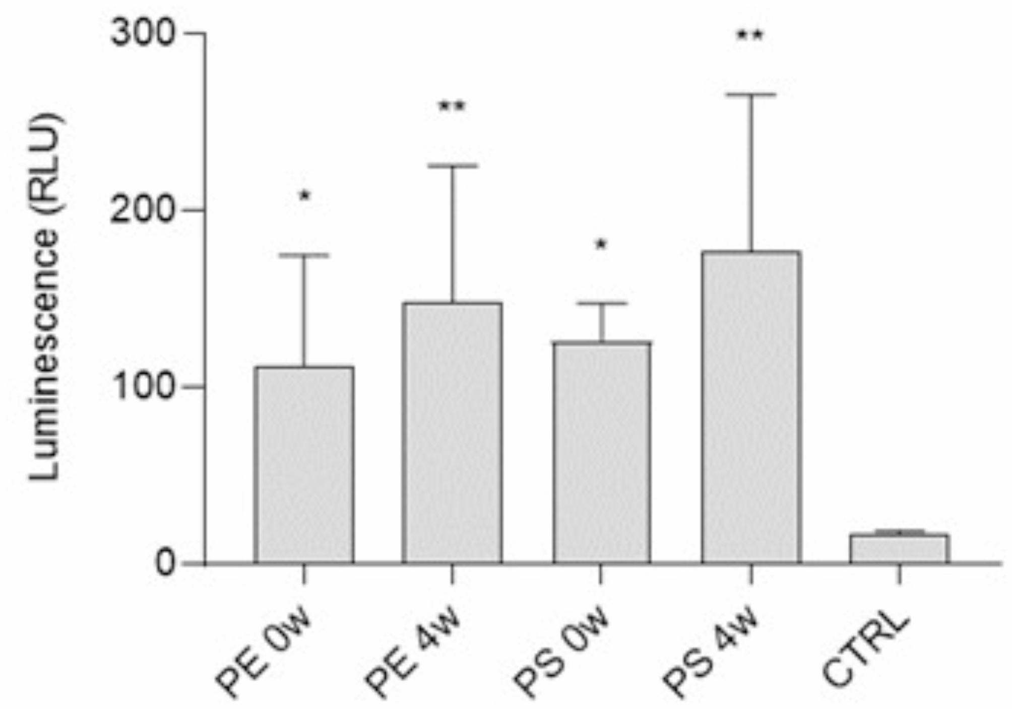
Caspase-1 induction in control and HCASMC samples treated with different MPs as virgin (0w) or photodegraded materials (4w). Data are shown as the means ± SD. Statistical analysis performed using one-way ANOVA followed by Fisher’s LSD post-hoc test. * p < 0.05, ** p < 0.01 compared to CTRL.