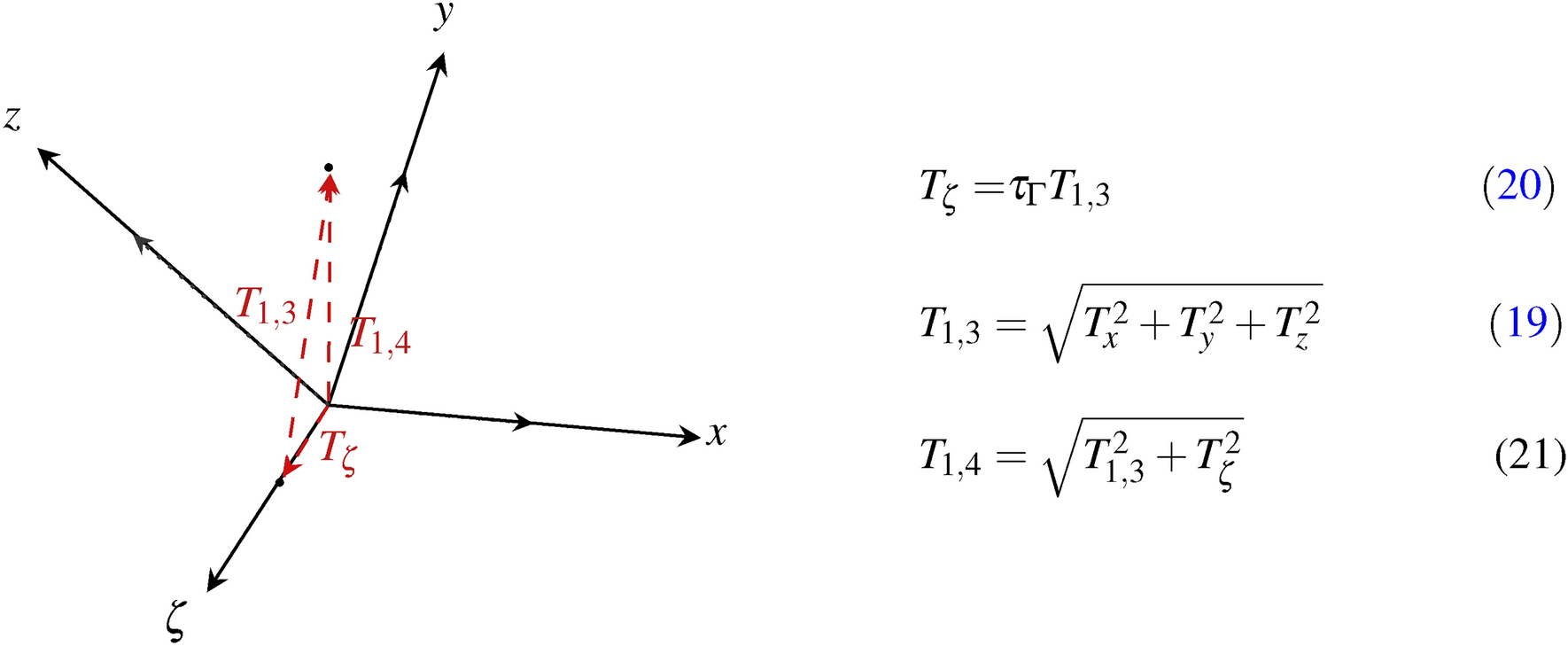
Fig. 7

The illustration shows the resulting components of 3rd and 4th-dimensional translation combined in the Schlingel diagram. The 4D translation \({T}_{1,4}\) is vectorially composed of the Euclidean \({T}_{1,3}\) and temporal translation \({T}_{\zeta }\).