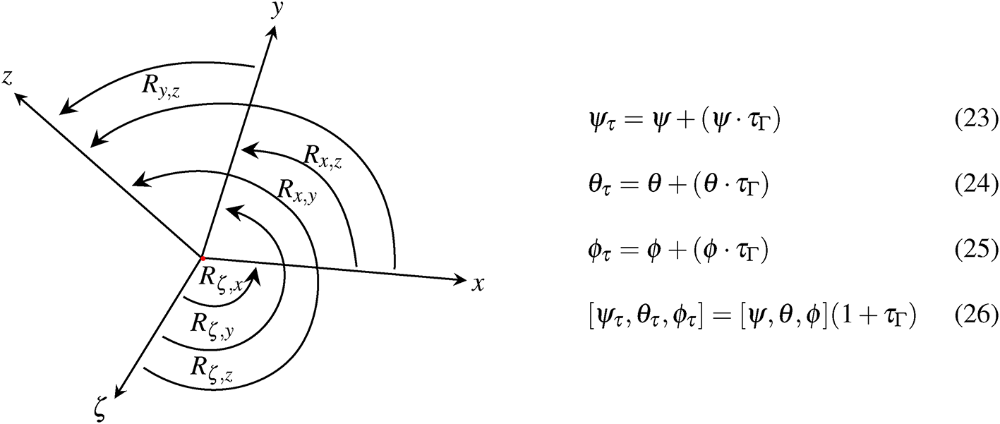
Fig. 8

The illustration shows the different types of 4D rotation. The 4D rotation contains 3 time-dependent \(\psi _{\tau },\theta _{\tau },\phi _{\tau }\) and time-independent angles \(\psi ,\theta ,\phi\). The time-dependent angles contain an additional phase shift due to the Lorentz boost which we express as \((1+\tau _{\Gamma })\).