Fig. 1
From: Optimal cultivation concentration of duckweed for pollutant removal from biogas slurry

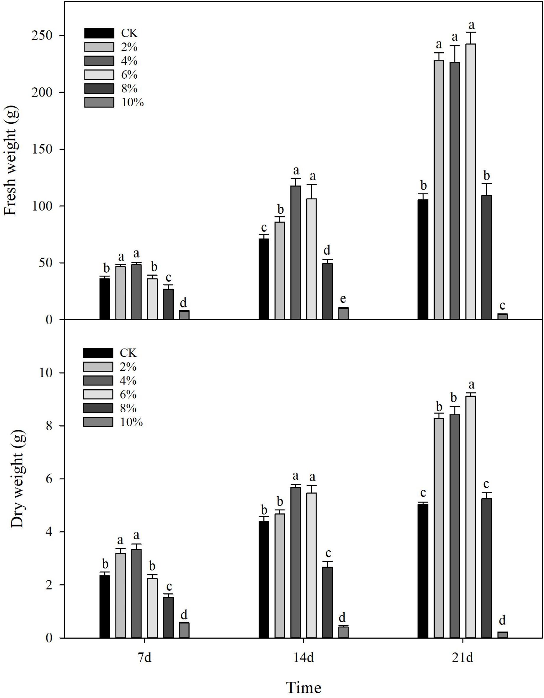
Biomass of duckweed recorded at different time points during the experiment. The upper part shows fresh weight, and the lower part shows dry weight. The data are presented as the mean ± standard error of three replicates. CK: No biogas slurry added; 2-10%: Biogas slurry added at the percentages indicated on the labels. Different lowercase letters in the figure indicate significant differences at the 0.05 level among the means at the same time point; no comparisons are made between different time points.