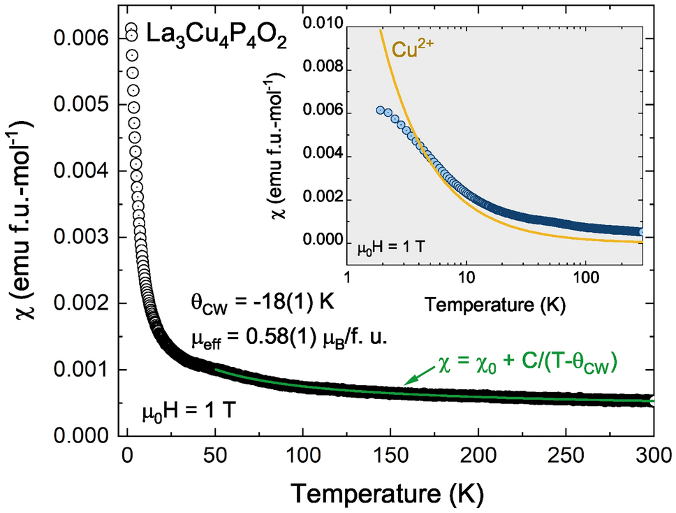
Fig. 2
From: Kondo-like behavior in a mixed valent oxypnictide La3Cu4P4O2

Magnetic susceptibility data per formula unit of \({\textrm{La}_\textrm{3}\textrm{Cu}_{4}\textrm{P}_{4}\textrm{O}_{2}}\) measured in the applied field of 1 T, with the diamagnetic contribution of the sample holder subtracted. The data were modeled with the modified Curie-Weiss law in the temperature range 50 K - 300 K (green line). The inset shows the same data vs log T, emphasizing the departure from the localized model below approx. 10 K.