Fig. 6
From: A clustering fractional-order grey model in short-term electrical load forecasting

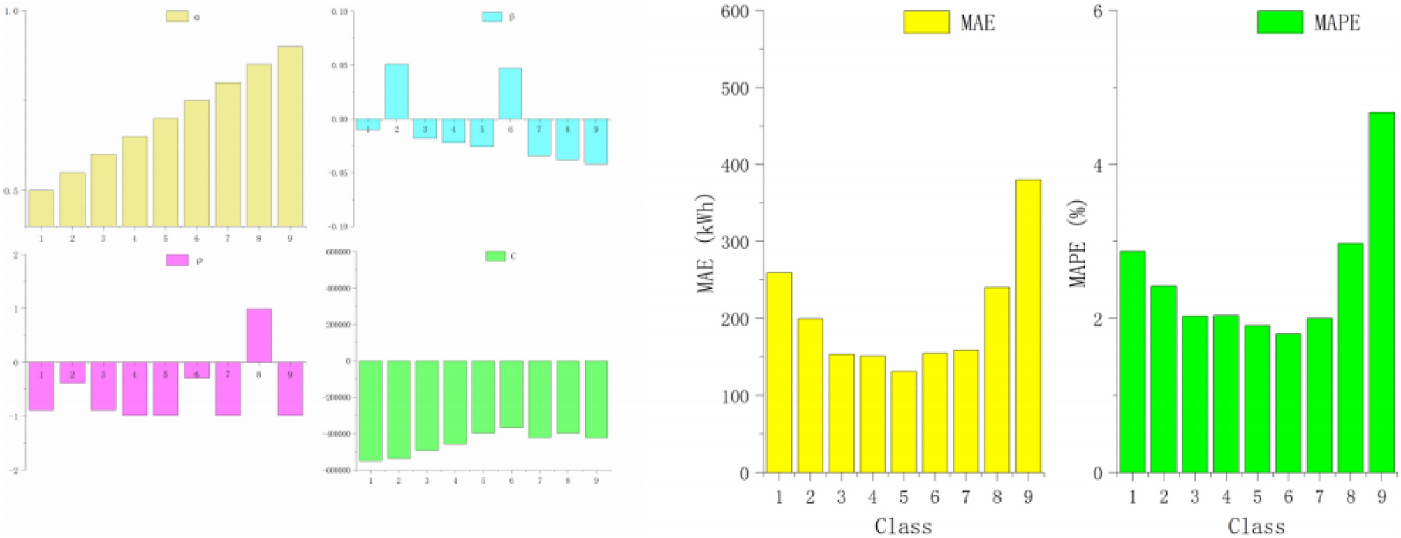
Statistic analysis on data set A Left: hyper-parameter distribution Right: MAE and MAPE distribution.
From: A clustering fractional-order grey model in short-term electrical load forecasting

Statistic analysis on data set A Left: hyper-parameter distribution Right: MAE and MAPE distribution.