Fig. 8
From: A clustering fractional-order grey model in short-term electrical load forecasting

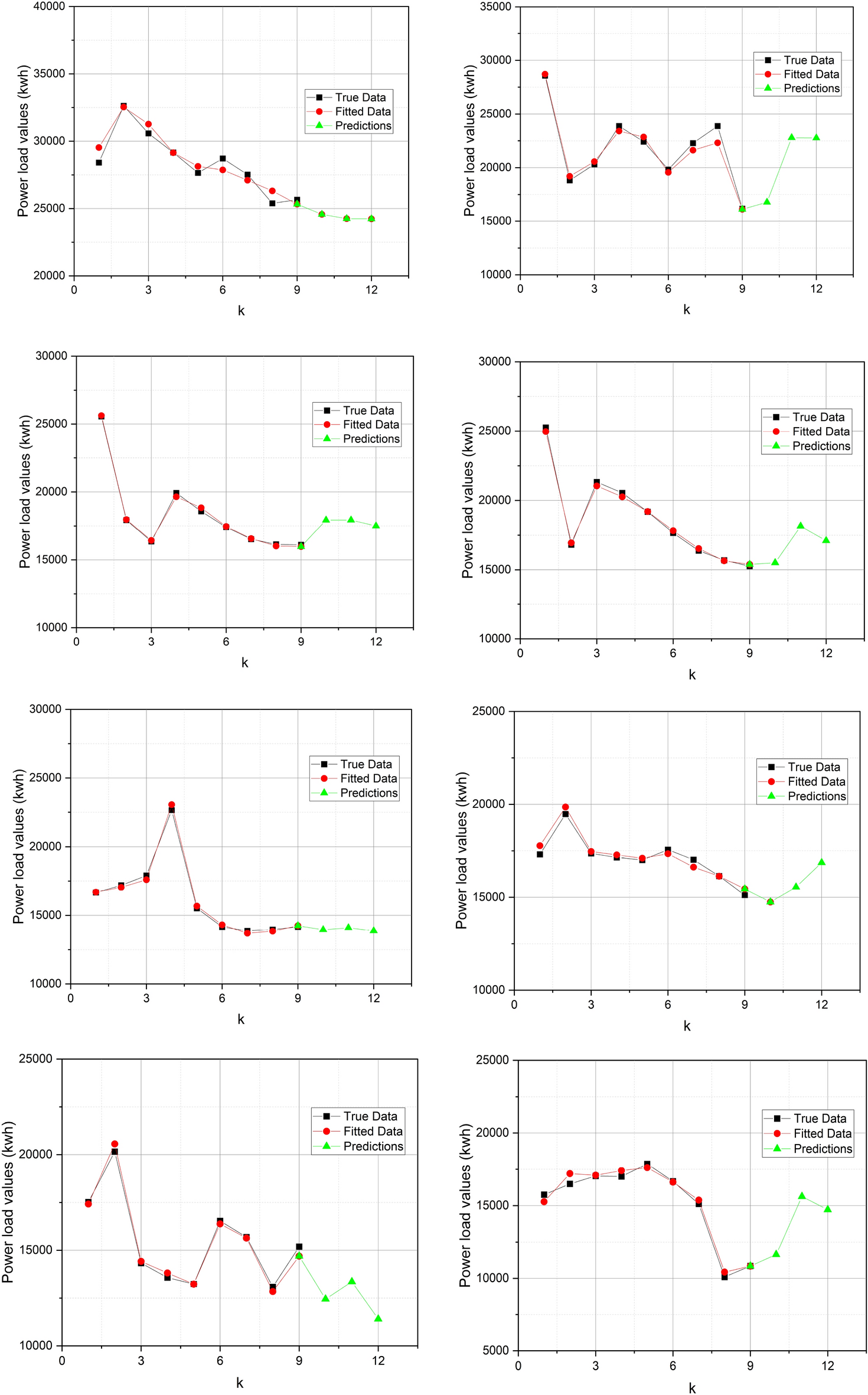
C-FGM simulations on data set B, class 1–8.
From: A clustering fractional-order grey model in short-term electrical load forecasting

C-FGM simulations on data set B, class 1–8.