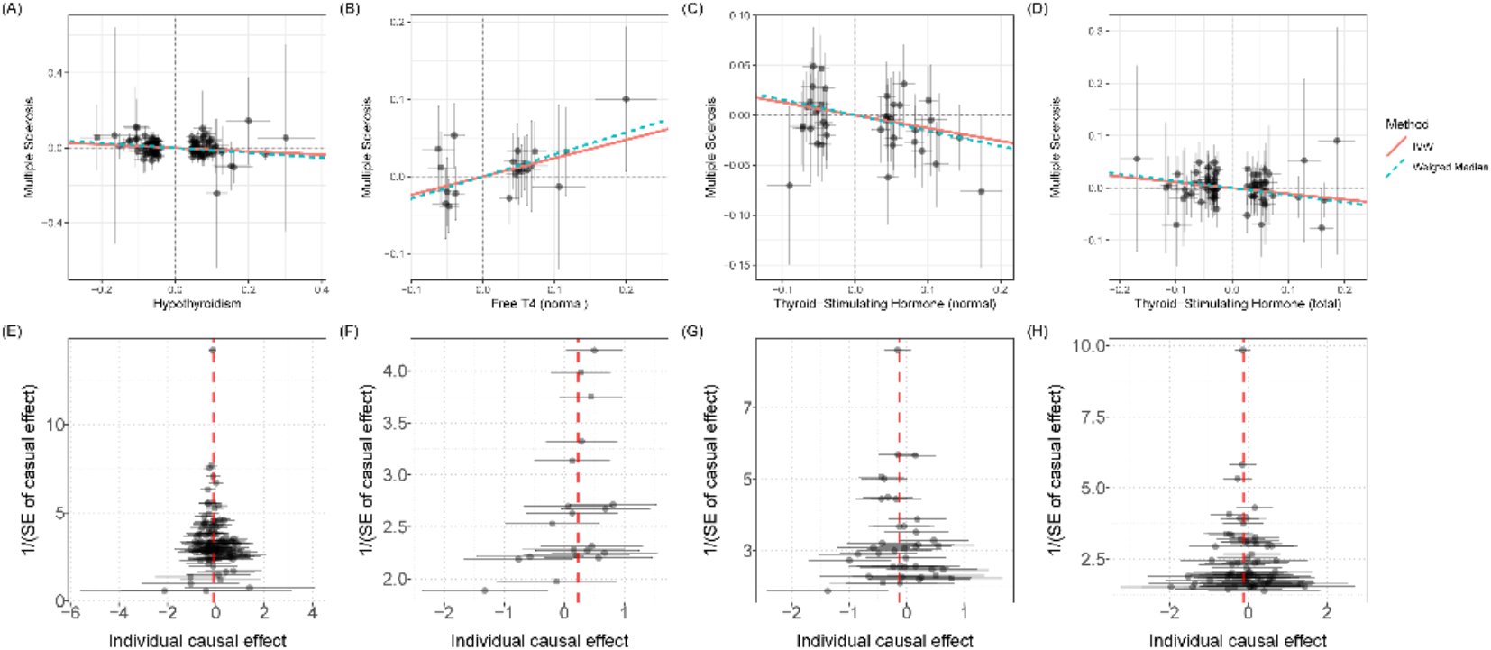
Fig. 3

(A) Scatter plot of the causal effect of hypothyroidism on MS; (B) FT4 on MS; (C) TSH (normal) on MS; (D) TSH (total) on MS; (E) Funnel plot of the causal effect of hypothyroidism on MS; (F) FT4 on MS; (G) TSH (normal) on MS; (H) TSH (total) on MS.