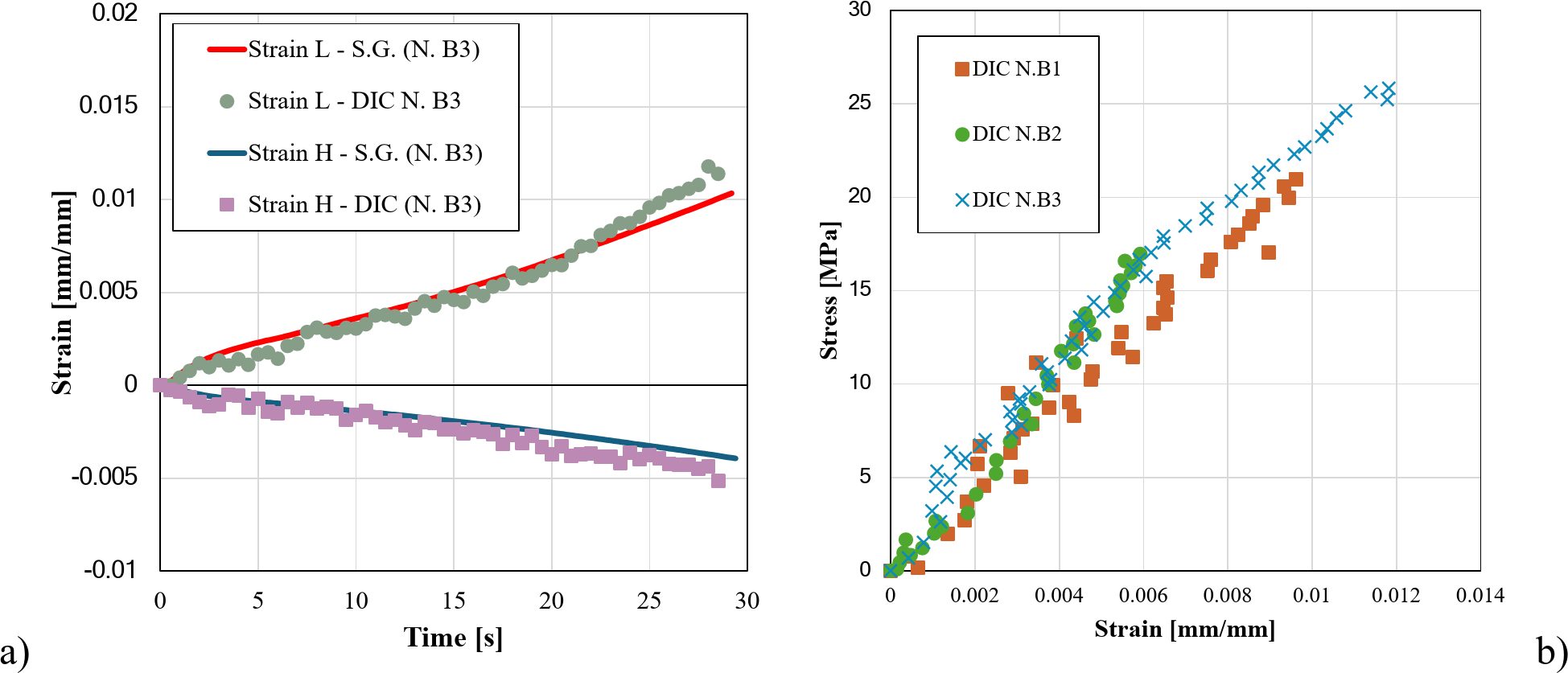
Fig. 11

(a) Representative comparison of L and H strain trends from a tensile test of type B ageing condition (specimen N. B3), (b) Stress-strain curves obtained from DIC outcomes of specimens subjected to type B thermal ageing procedure.

(a) Representative comparison of L and H strain trends from a tensile test of type B ageing condition (specimen N. B3), (b) Stress-strain curves obtained from DIC outcomes of specimens subjected to type B thermal ageing procedure.