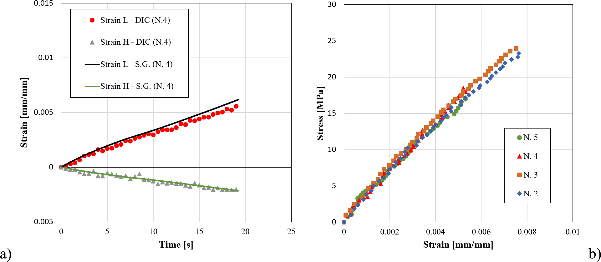
Fig. 9

(a) Representative comparison of L and H strain trends from a tensile test (specimen N.4), (b) Stress-strain curves obtained from DIC outcomes.

(a) Representative comparison of L and H strain trends from a tensile test (specimen N.4), (b) Stress-strain curves obtained from DIC outcomes.