Fig. 1
From: Low lying excited states quantum entanglement and continuous quantum phase transitions

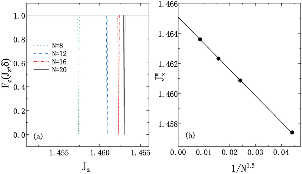
(a) Fidelity of the first excited state \(F_e(J_z,\delta )\) with \(\delta =1\times 10^{-4}\) as a function of \(J_z\) under different system size N for DQCP model. (b) Linear finite-size scaling of the extrema \(J_z^m\) (black dots) of \(F_e(J_z,\delta )\) in (a). When \(N\rightarrow \infty\), the extrapolated critical value is \(J_z^c=1.4645(1)\).