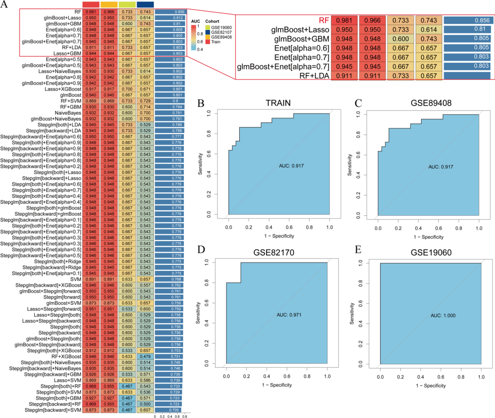
Fig. 8

Screening hub genes through machine learning. (A) Validation efficacy of models evaluated based on different combinations of machine learning algorithms; (B) AUC curves for the training set; (C) AUC curves for the validation set GSE89408; (D) AUC curves for the validation set GSE82107; (E) AUC curves for the validation set GSE19060.