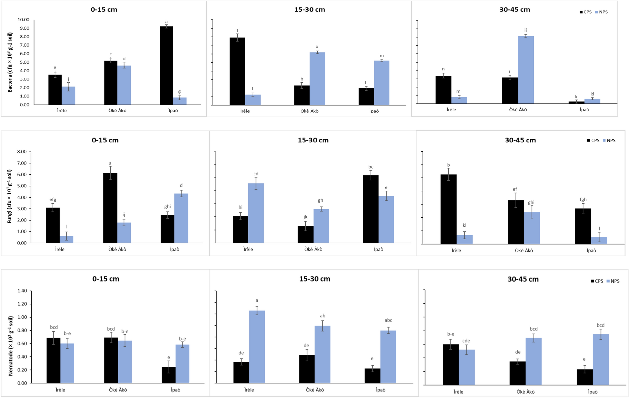
Fig. 2

Bacterial, Fungi, and Nematodes counts in the soils of CPS and NPS in different locations and depths in Ikole, Ekiti, Southwestern Nigeria. Vertical bars indicate standard errors of the means (n = 5). Bars with the same alphabet (s) within a soil layer for the same parameter are not significantly different (P < 0.05).