Fig. 10

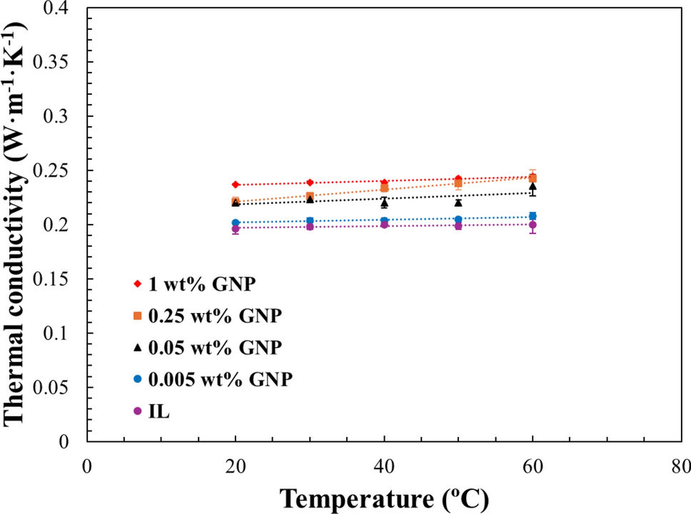
Thermal conductivity of the INFs as a function of temperature. The data related to the pure IL were sourced from the research conducted by Moulefera et al.49.

Thermal conductivity of the INFs as a function of temperature. The data related to the pure IL were sourced from the research conducted by Moulefera et al.49.