Fig. 12
From: Finite element analysis of flexural performance of reinforced truss hollow composite concrete slabs

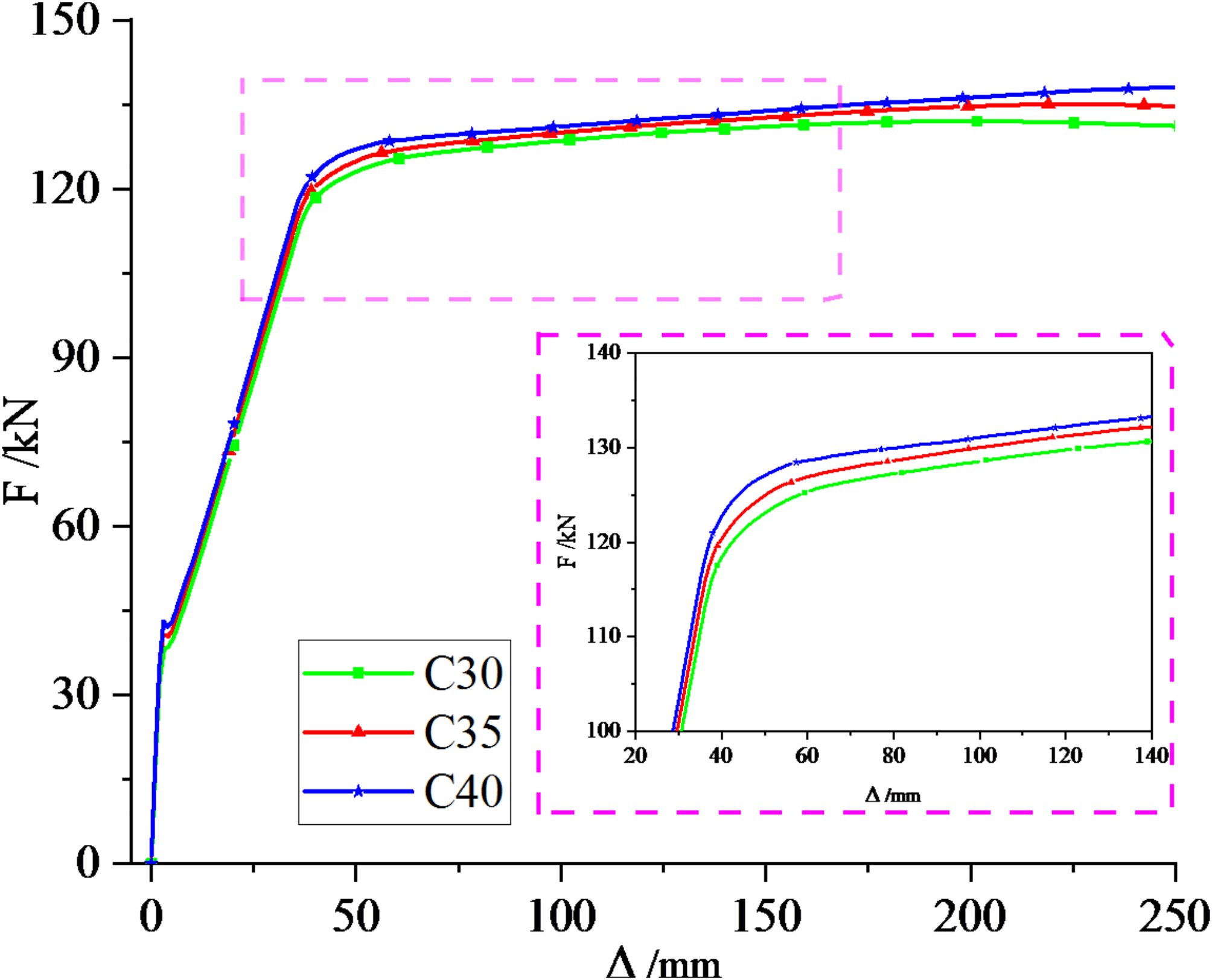
Load-Midspan displacement curves from finite element analysis.
From: Finite element analysis of flexural performance of reinforced truss hollow composite concrete slabs

Load-Midspan displacement curves from finite element analysis.