Fig. 10
From: A public opinion propagation model for technological disasters

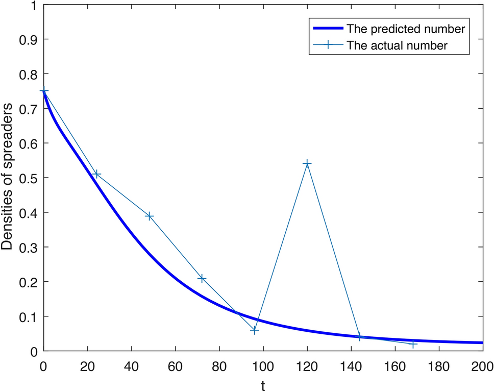
Densities of spreaders in the 6.13 Shiyan gas explosion accident.
From: A public opinion propagation model for technological disasters

Densities of spreaders in the 6.13 Shiyan gas explosion accident.