Fig. 12
From: Characteristics of wetting behavior under unloading in natural granite residual soil

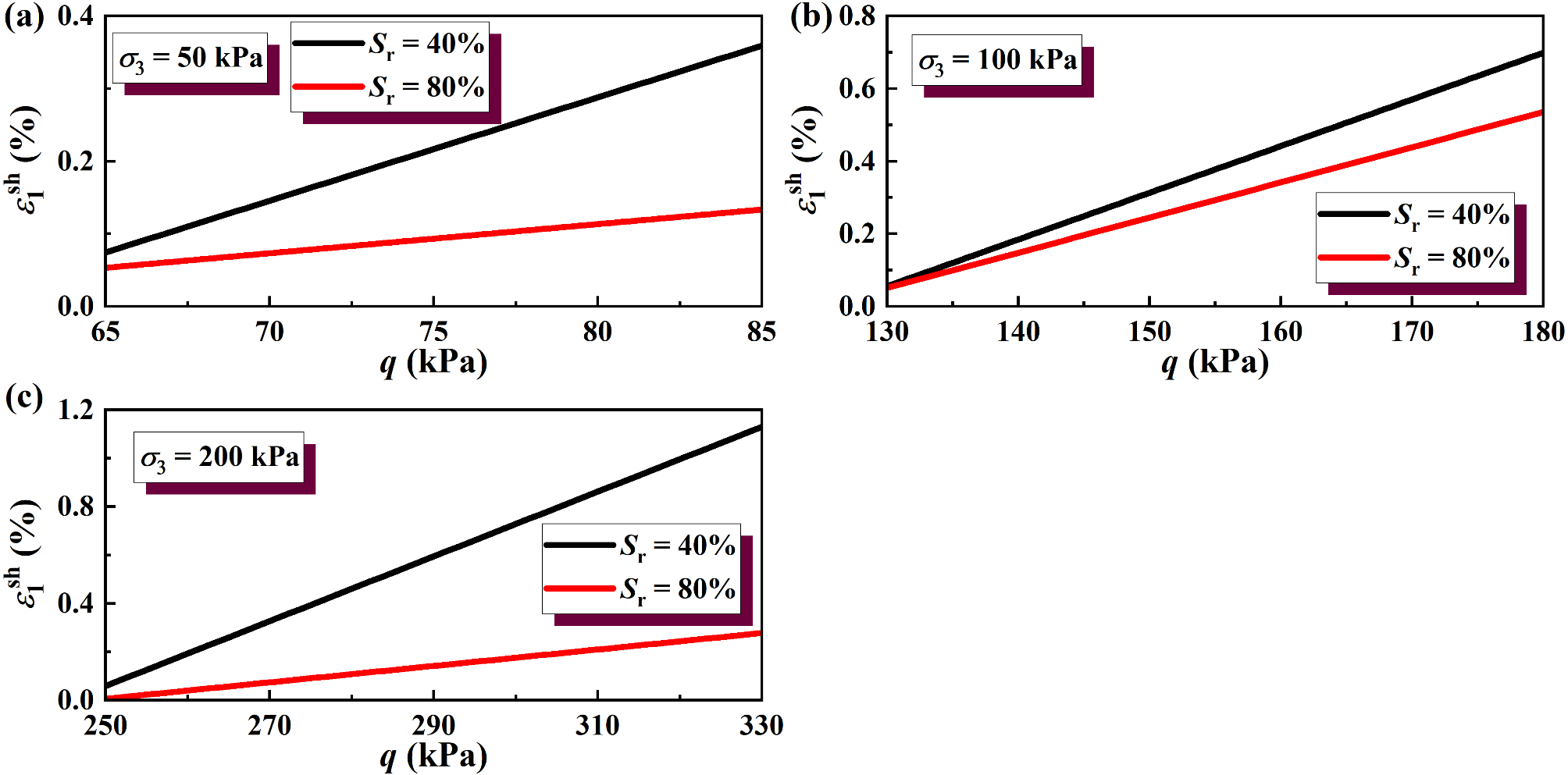
Wetting deformation under unloading σ3 calculated by simplified linear model: (a) σ3 = 50 kPa; (b) σ3 = 100 kPa; (c) σ3 = 200 kPa.
From: Characteristics of wetting behavior under unloading in natural granite residual soil

Wetting deformation under unloading σ3 calculated by simplified linear model: (a) σ3 = 50 kPa; (b) σ3 = 100 kPa; (c) σ3 = 200 kPa.