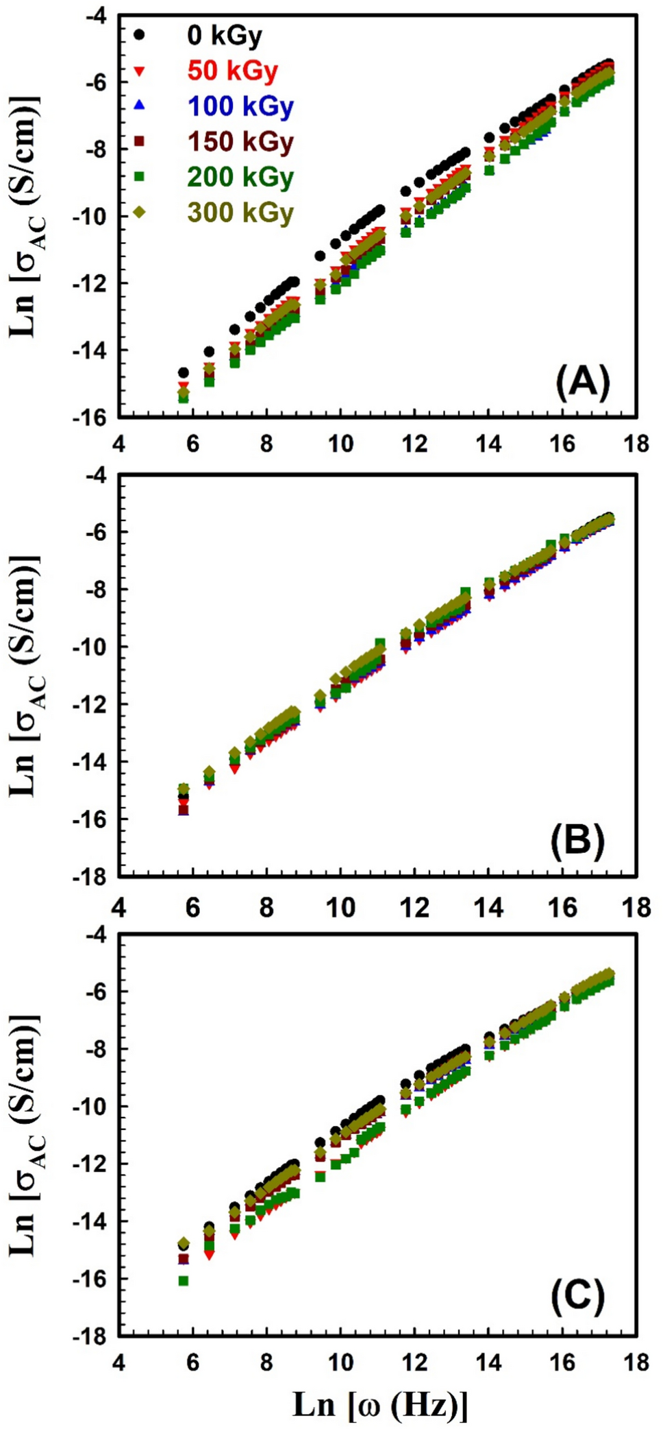
Fig. 7

Frequency dependence of AC electrical conductivity σAC for (A) SW30, (B) EW30, and (C) HW30 samples at different γ-irradiation doses.

Frequency dependence of AC electrical conductivity σAC for (A) SW30, (B) EW30, and (C) HW30 samples at different γ-irradiation doses.