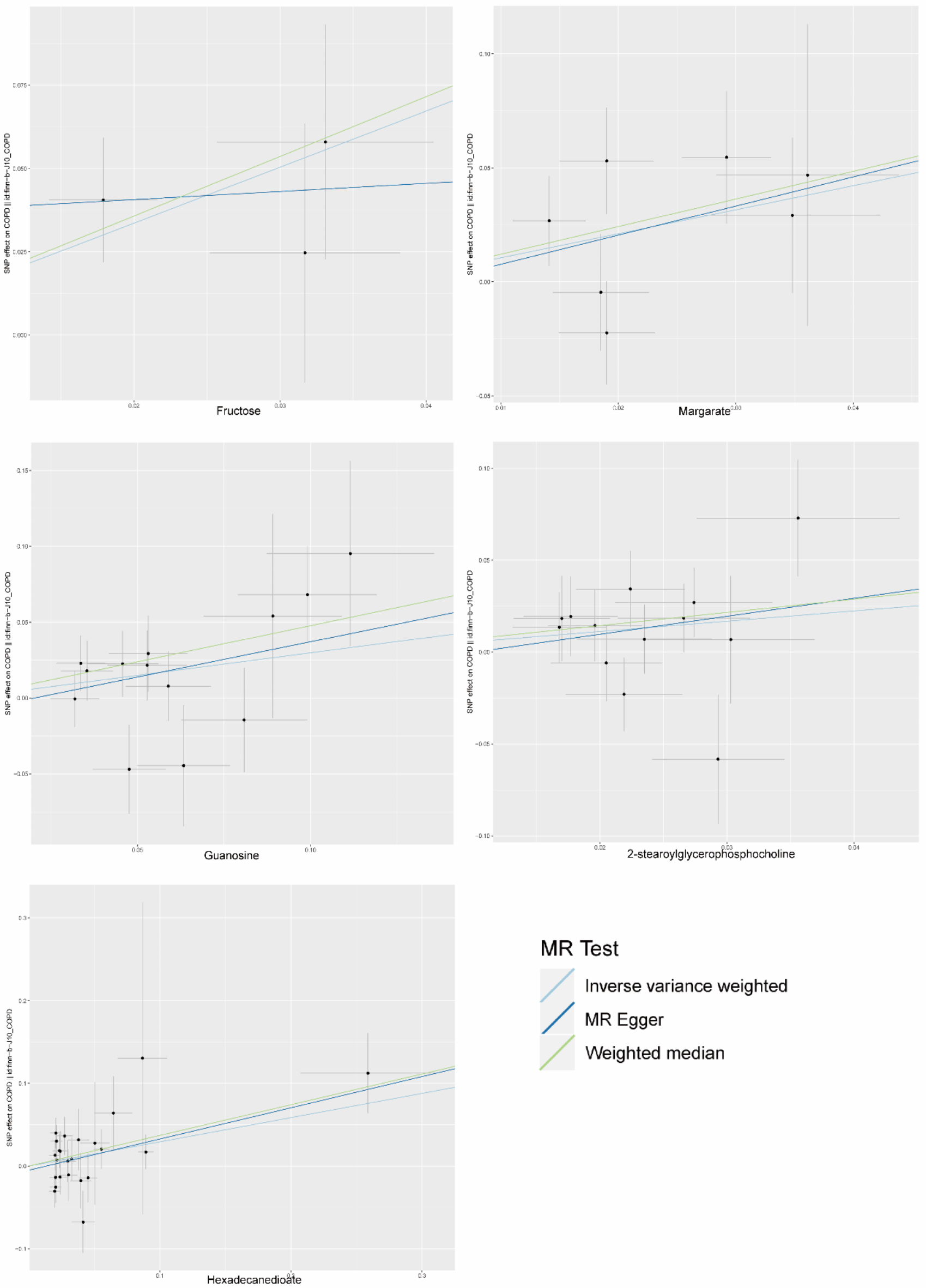
Fig. 4

Scatterplot of MR analysis of metabolites positively associated with COPD risk. The extent of the cause-and-effect relationship is demonstrated by the incline of the linear graph. The x-axes represent genetic instrument- metabolites associations, and the y-axes represent genetic instrument-COPD associations . Black dots denote the genetic instruments included in the MR analysis.