Fig. 1
From: Type of diet has no major influence on inflammatory response in a Saddleback pig model

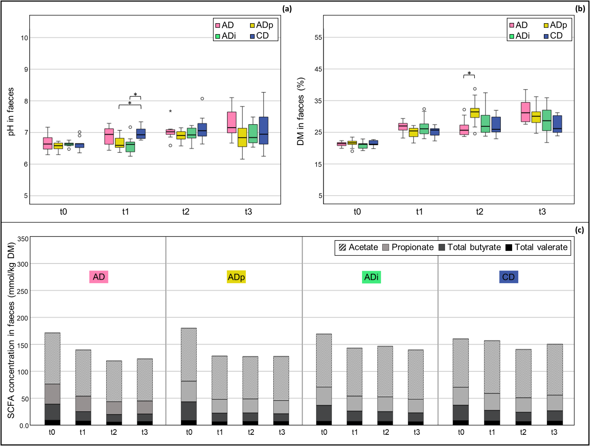
pH values, DM content (%) and SCFA concentrations (mmol/kg DM) in faeces. The data represent the time points before the feed change (t0) and at 1–3 months after the feed change (t1–t3) for all the feeding groups (AD, ADp, ADi and CD). *Asterisks indicate significant differences between the groups. Significant differences were identified by P values ≤ 0.05 via ANOVA with Games Howell test for pH values and the Kruskal–Wallis test with Bonferroni correction for DM content. DM, dry matter; SCFA, short-chain fatty acid; AD, group fed the atherogenic diet (n = 8–10); ADp, group fed the atherogenic diet + pectin (n = 9–10); ADi, group fed the atherogenic diet + inulin (n = 9–10); CD, group fed the conventional diet (n = 9–10).