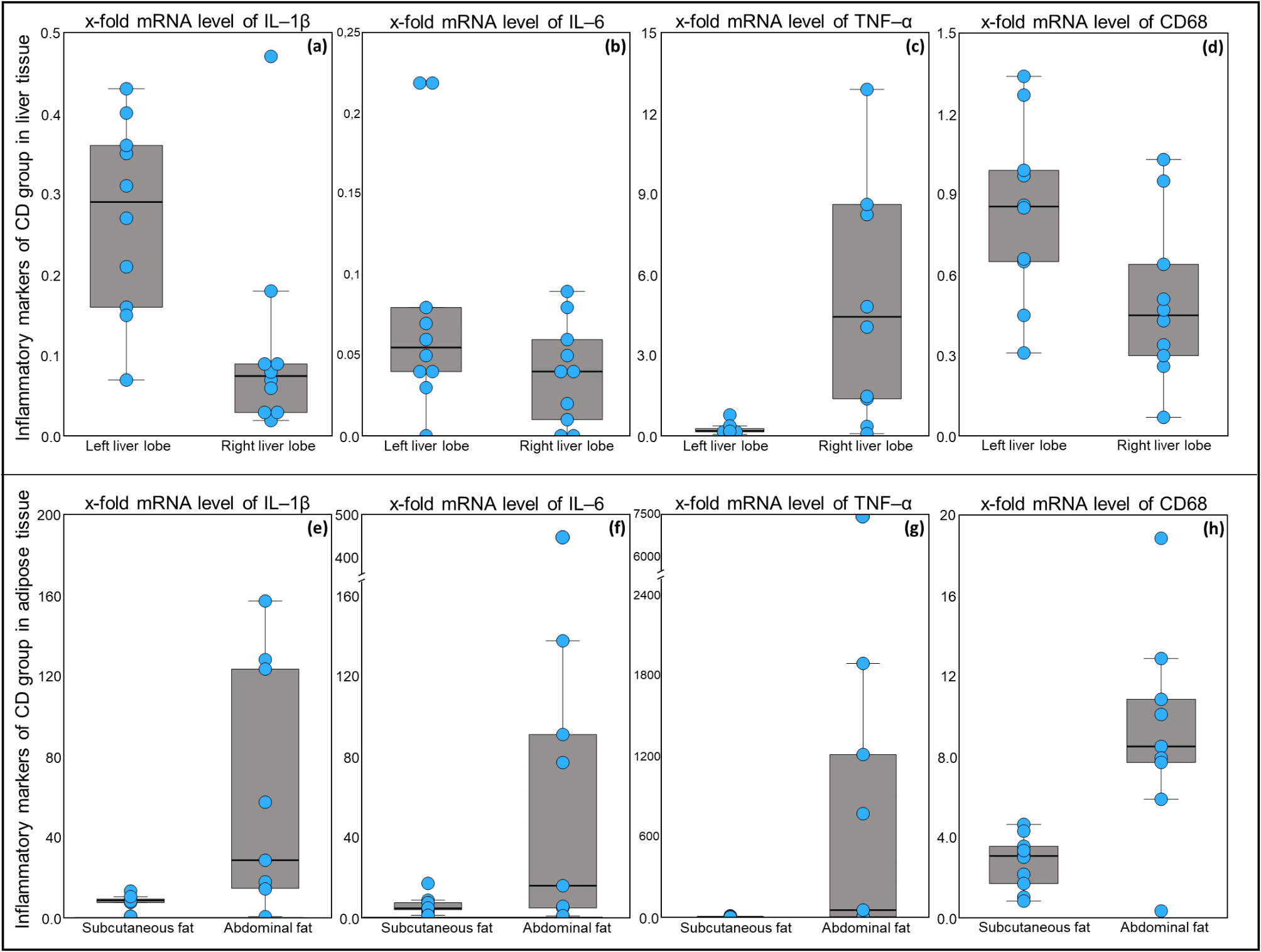
Fig. 3
From: Type of diet has no major influence on inflammatory response in a Saddleback pig model

mRNA levels of IL-1β, IL-6, TNF-α and CD68 in the liver (a–d) and adipose tissue (e–h) of CD group. The data are presented as box plots with a single dot per animal. Left liver lobe, lobus hepatis sinister lateralis; Right liver lobe, lobus hepatis dexter lateralis; IL-1β, interleukin-1β; IL-6, interleukin-6; TNF-α, tumour necrosis factor α; CD68, cluster of differentiation 68; CD, group fed the conventional diet (n = 10).