Fig. 1
From: A novel simplified structural design as an artificial enzyme for efficient hydrolysis of PNPA

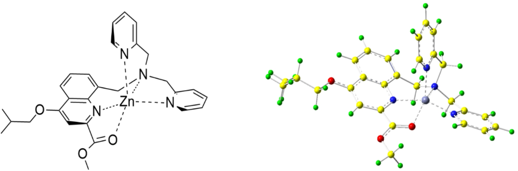
The chemical structure (left) and the simulated model (right) of the Zn(II)-SMM complex.
From: A novel simplified structural design as an artificial enzyme for efficient hydrolysis of PNPA

The chemical structure (left) and the simulated model (right) of the Zn(II)-SMM complex.