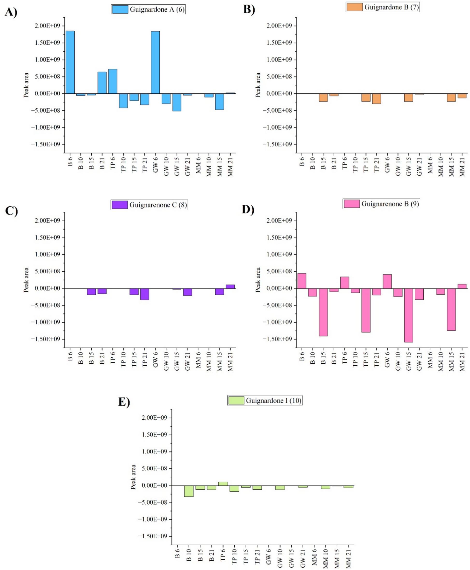
Fig. 4

Meroterpenes production on different fermentation techniques over time with relative comparison. (Panel A) Production of Guignardone A (6), (Panel B) production of Guignardone B (7), (Panel C) production of Guignarenone C (8), (Panel D) production of Guignarenone B (9) and (Panel E) Production of Guignardone I (10).