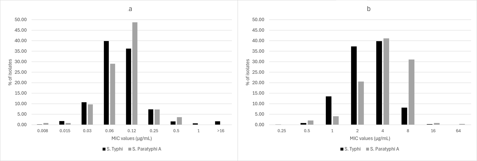
Fig. 1

(a) Distribution of ceftriaxone minimum inhibitory concentration (MIC) values for S. Typhi (N = 1081) and S. Paratyphi A isolates (N = 248); (b) Distribution of azithromycin minimum inhibitory concentration (MIC) values for S. Typhi (N = 1080) and S. Paratyphi A isolates (N = 248).