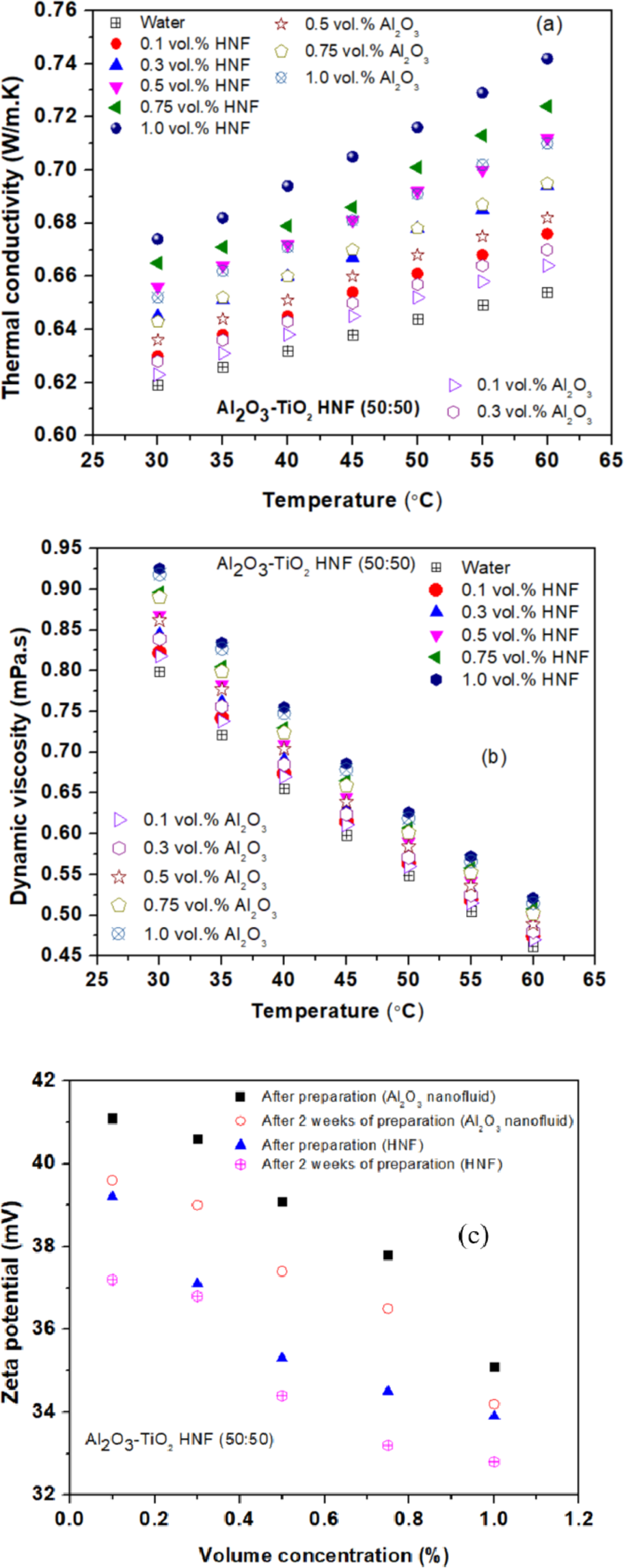
Fig. 3

Variation of (a) TC and (b) VST with temperature. (c) Changes in Zeta potential for nanofluids in response to volume concentration.

Variation of (a) TC and (b) VST with temperature. (c) Changes in Zeta potential for nanofluids in response to volume concentration.