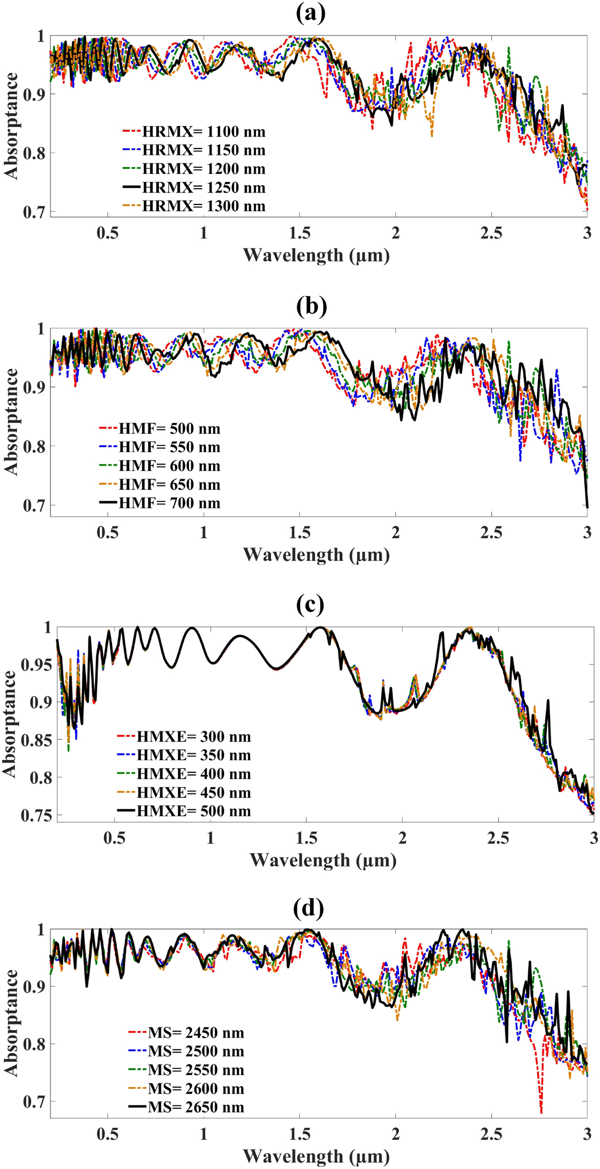
Fig.6

Optimization of the MMRSA various parameters such as the thickness of the substrate, ground, and resonator layer, structure depth, and width. (a) Optimization of MMRSA resonator thickness, with step size 50 nm, (b) Optimization of MMRSA substrate thickness, with step size 50 nm, (c) Optimization of MMRSA ground layer thickness, with step size 50 nm, (d) Optimization of MMRSA depth and width, step size with 50 nm.