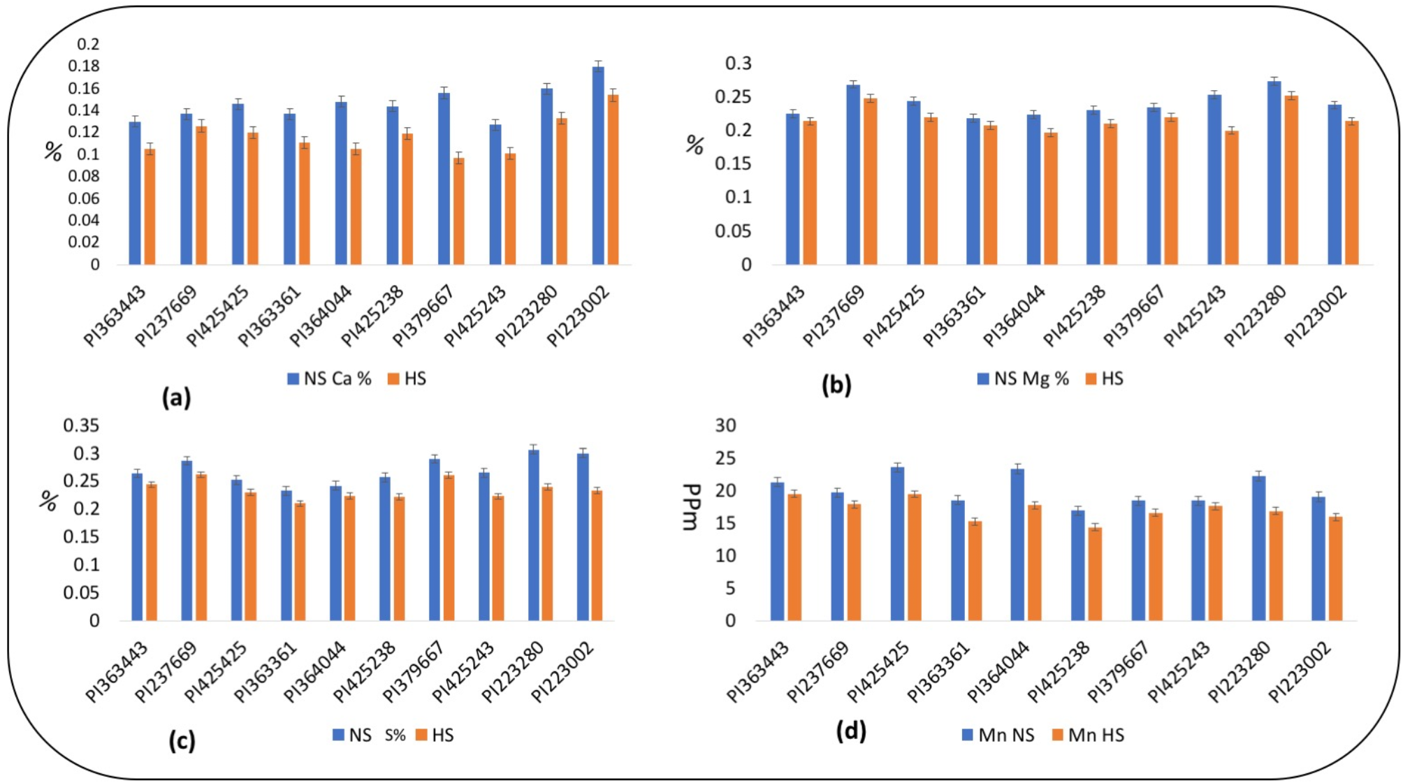
Fig. 2

Seed (a) calcium, (b) magnesium, (c) sulfur, and (d) manganese concentrations (ppm) of mung bean genotypes under control (non-stress, NS) and heat stress (HS) conditions. LSD values (P < 0.05); genotype × treatment: 0.00 for (Ca%), 0.00 for (Mg%), 0.001 for (S%), and 3.82 for (Mn). Values are means + SE. (n = 3).