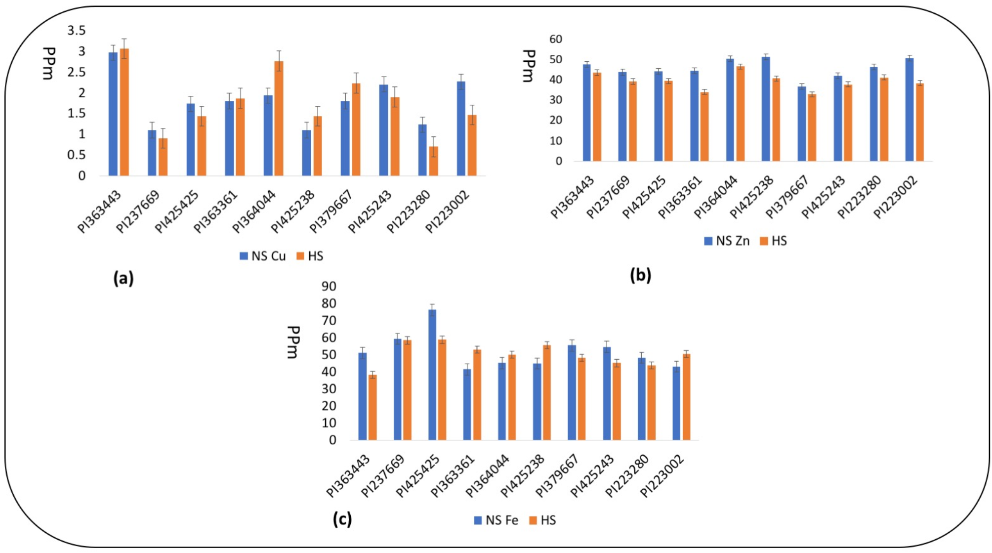
Fig. 3

Seed (a) copper (Cu), (b) zinc (Zn) and (c) iron (Fe) concentrations (ppm) of mung bean genotypes under control (non-stress, NS) and heat stress (HS) conditions. LSD values (P < 0.05); genotype × treatment: 0.35 for (Cu), 17.34 for (Zn), and 152.9 for (Fe). Values are means + SE (n = 3).