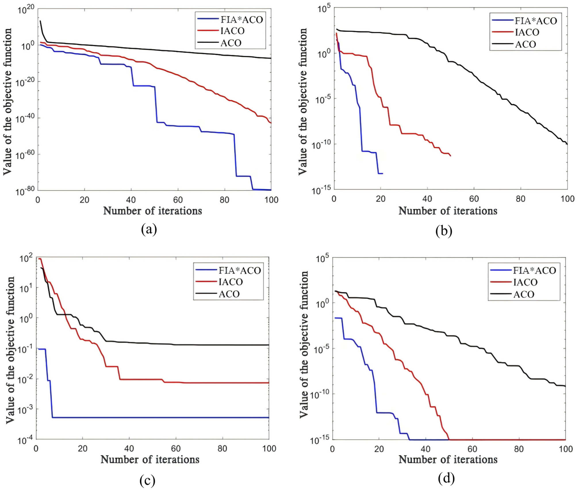
Fig. 13

The process of four functions converging to the optimal solution based on the ACO, IACO, and FIA*ACO. (a) F1(x) converged to the optimal solutionbased on the ACO, IACO, and FIA*ACO. (b) F2(x) converged to the optimal solutionbased on the ACO, IACO, and FIA*ACO. (c) F3(x) converged to the optimal solutionbased on the ACO, IACO, and FIA*ACO. (d) F4(x) converged to the optimal solutionbased on the ACO, IACO, and FIA*ACO.