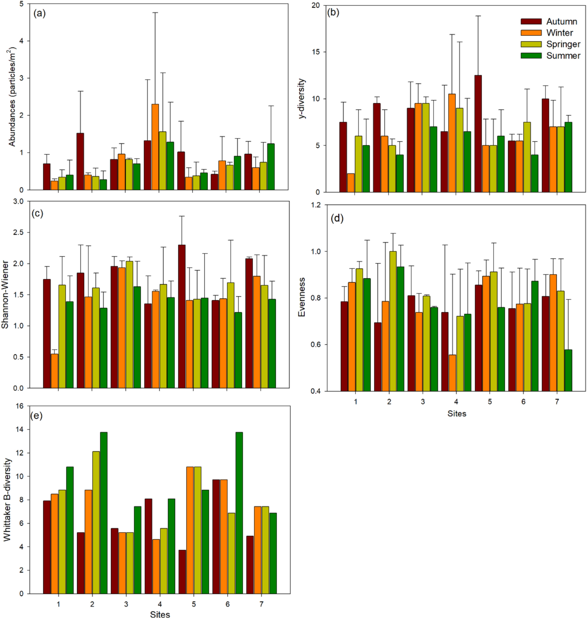
Fig. 3
From: Macroplastic distribution patterns and accumulation in an urbanised Austral subtropical river system

Mean macroplastic abundance and functional groups (a) macroplastic abundance (b) ‘litter species’ (γ–diversity), (c) Shannon– Weiner index (d) Evenness (e) Whittaker β– diversity for four seasons along the Crocodile River system.