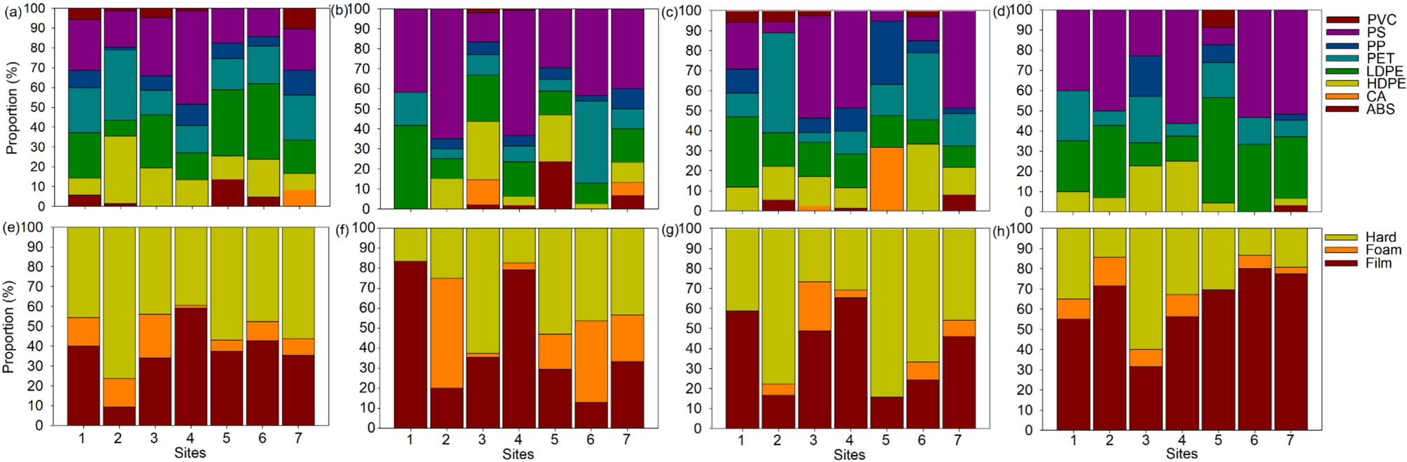
Fig. 4
From: Macroplastic distribution patterns and accumulation in an urbanised Austral subtropical river system

The macroplastic polymer group (a–d) and physical form (e–h) over four seasons (i.e., autumn, winter, spring, summer) for seven sites along the Crocodile River system excluding mixed polymer and isoprene which were only observed once. Abbreviations: LDPE—low density polyethylene, PET– Polyethylene terephthalate, PS—polystyrene, PVC—polyvinyl chloride, PP—polypropylene, CA—cellulose acetate, HDPE—high–density polyethylene, ABS—acrylonitrile butadiene styrene, PI—polyisoprene, FPM—fluorocarbon–based rubber.