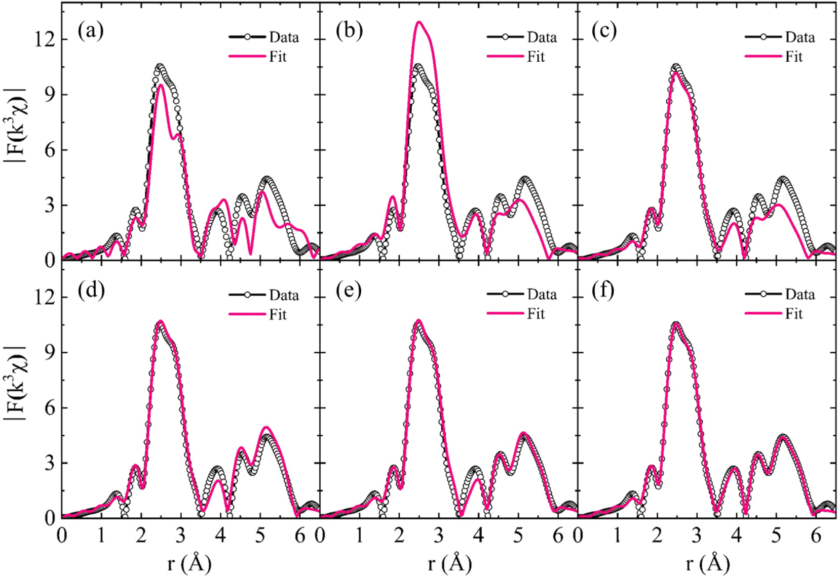
Fig. 2
From: Quantitative analysis of EXAFS data sets using deep reinforcement learning

The EXAFS data of a Pt foil at the Pt L3 edge was used for successive fits at the reward values of (a) 3, (b) 10, (c) 30, (d) 50, (e) 75, (f) 295 using the deep RL method. The data in the range of 2.5–11.0 Å-1 was utilized for the Fourier transform, and the data in the range of r = 2.0–5.8 Å was fitted.