Fig. 3
From: Quantitative analysis of EXAFS data sets using deep reinforcement learning

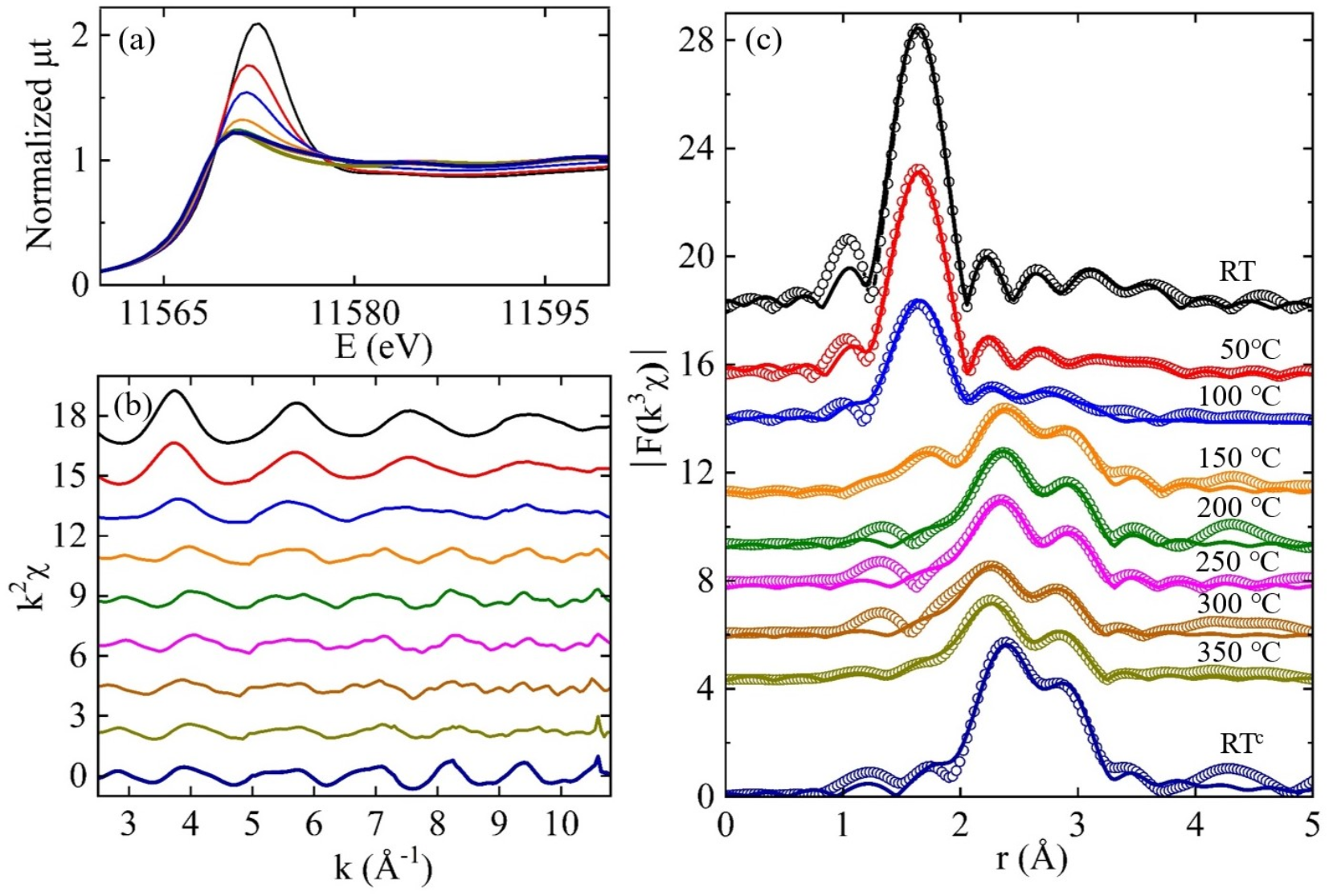
(a) XANES from PtOx at the Pt L3 edge during heating. (b) and (c) the EXAFS data in the k-space and the Fourier-transformed EXAFS data in the r-space. The solid lines in (c) represent the best fits obtained using the deep RL method. The data in the k range of 2.5–10.5 Å-1 was used for the Fourier transform with a Hanning window and a window sill width of 0.5 Å-1. The data in the region of r = 1.3–3.5 Å was fitted.