Fig. 4
From: Quantitative analysis of EXAFS data sets using deep reinforcement learning

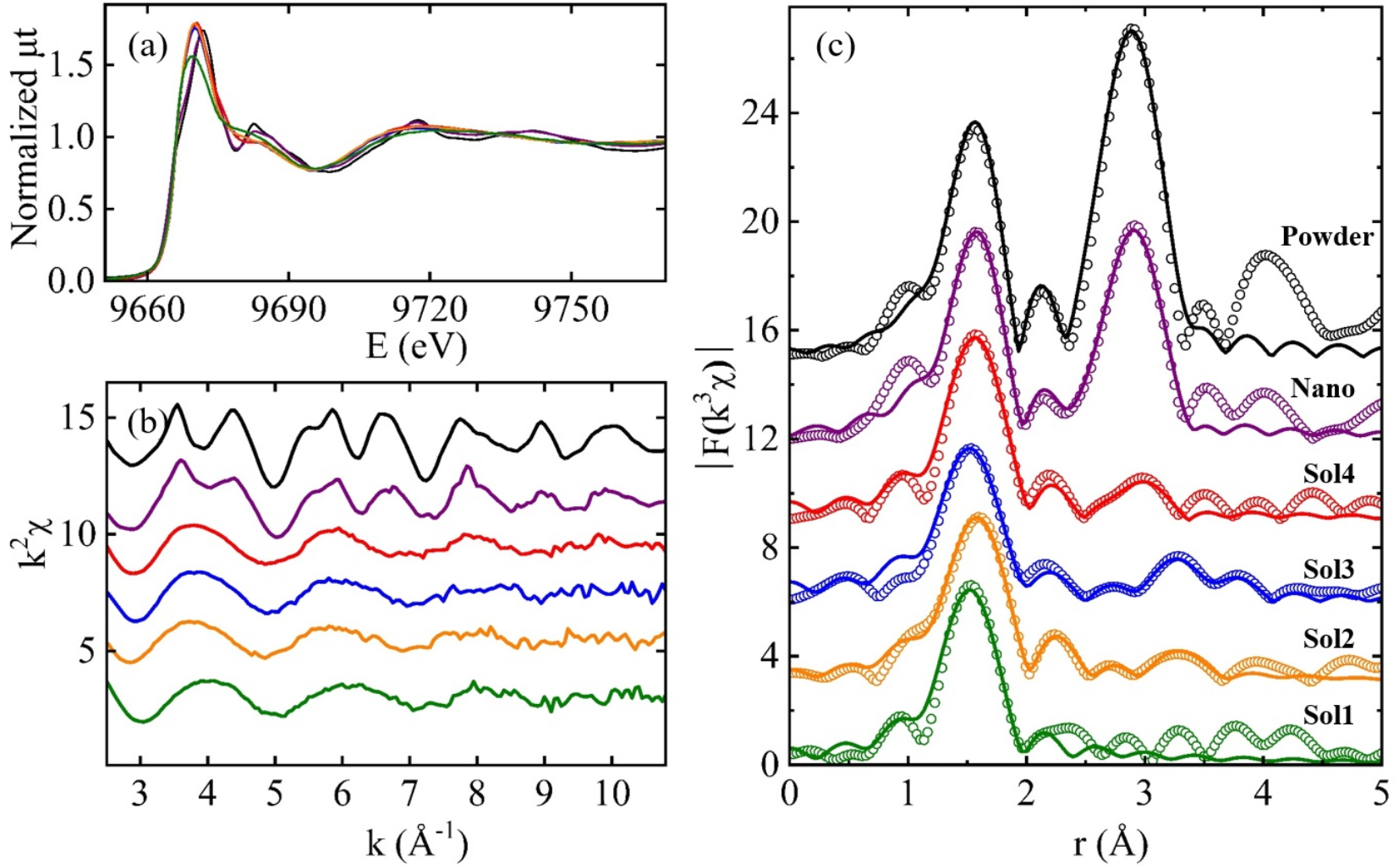
(a) XANES data from the Zn-O complex at the Zn K edge during the crystallization of ZnO in an aqueous solution. (b) and (c) the EXAFS data in the k-space and the Fourier-transformed EXAFS data in the r-space. The solid lines in (c) represent the best fits. The data in the k range of 2.5–10.5 Å-1 was used for the Fourier transform with a Hanning window and a windowsill width of 0.5 Å-1.