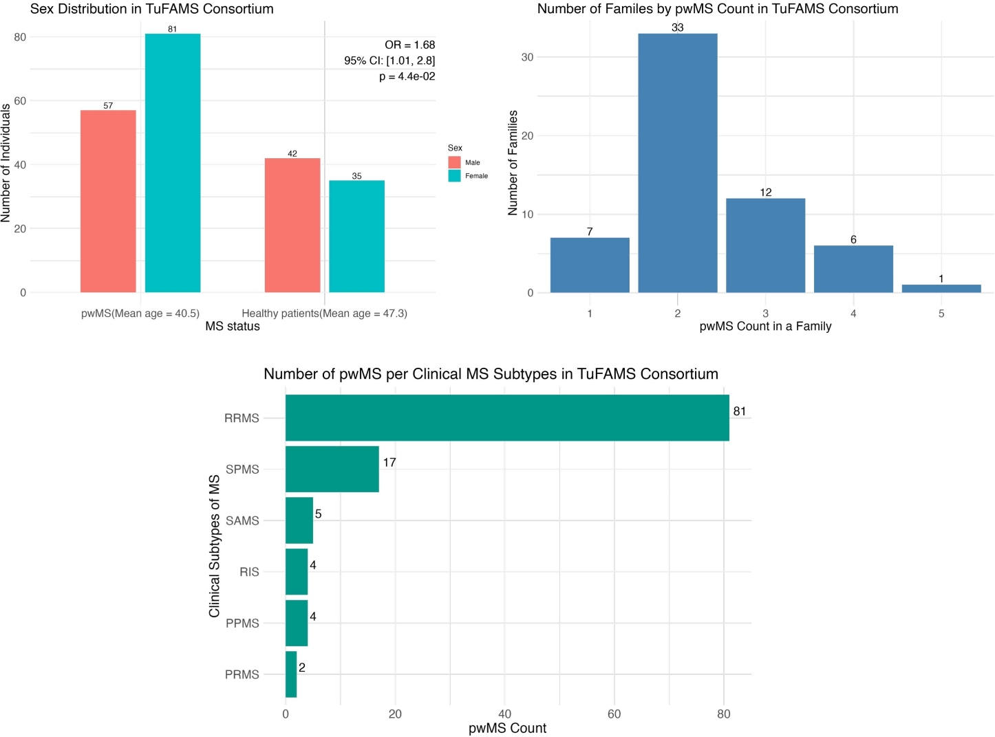
Fig. 2

The demographic landscape of TuFaMS Consortium. (A) Comparison of the proportion of pwMS and healthy individuals by gender. The OR calculated using GEE to account for familial clustering. (B) Distribution of the number of patients with MS (pwMS) in families. (C) Clinical subtypes of MS in the TuFaMS cohort.