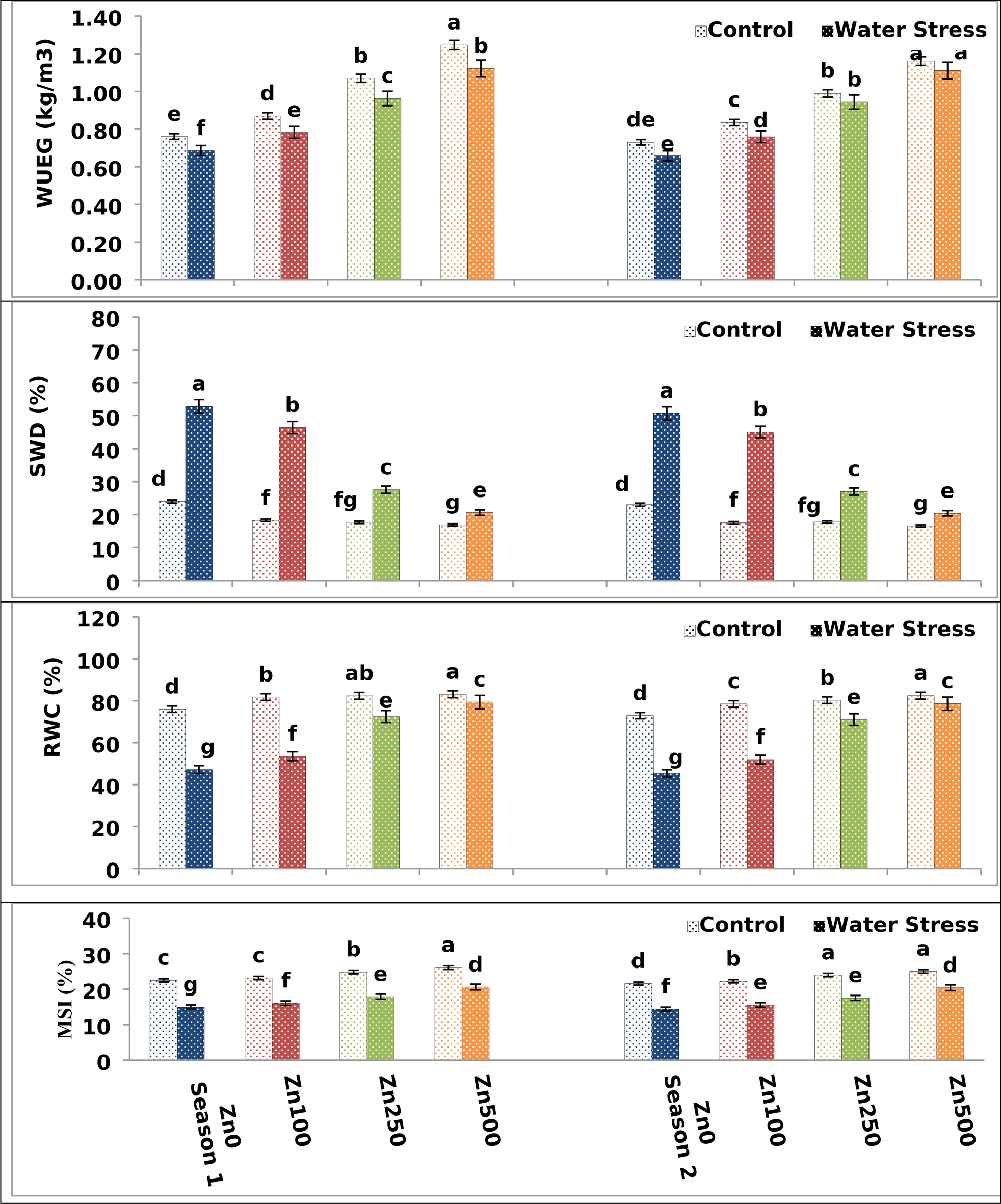
Fig. 2

The impact of interactions between irrigation and Zn treatments on the membrane stability index (MSI), relative water content (RWC), saturation water deficit (SWD) and water use efficiency for grains (WUEG) of the wheat cultivar at heading. The vertical bars denote the standard error of the ensemble mean (n = 3). Different letters indicate significant differences between treatments at p ≤ 0.05.