Fig. 3
From: Orbital Hall conductivity in a Graphene Haldane and Haldane Haldane bilayers

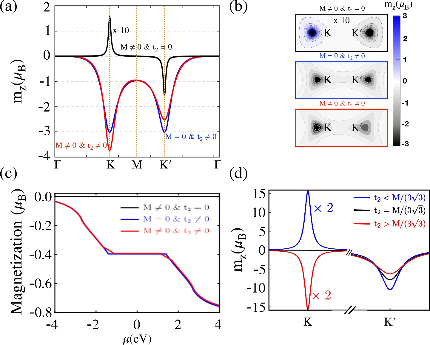
(a) The orbital magnetic moment (\(m_z\)) along the high symmetry path (\(\Gamma \rightarrow K \rightarrow M \rightarrow K' \rightarrow \Gamma \)) in the Brillouin zone (BZ). The black color line corresponding to the \(m_z\) that arises with the inclusion of inversion symmetry breaking (\(M=0.1t_g\)) and no NNN hopping is added. The blue color line corresponding to \(m_z\) that arises with the inclusion of time-reversal symmetry breaking with \(t_2=0.1t_g\) and inversion symmetry preserved (\(M=0\)). For the case where both the symmetries are broken (\(M=0.1t_g\) and \(t_2=0.1t_g\)) is represented with the red color line. Here we use \(t_g=-2.7\) eV the nearest neighbor (NN) hopping strength and Haldane flux\((\phi )=\pi /2\). (b) The orbital magnetic moment distribution for all three cases around the BZ corners (K and \(K'\)) is plotted. (c) The net magnetization over the BZ as a function of \(\mu (\textrm{eV})\) for the each cases discussed above. (d)The \(m_z\) of single layer graphene for trivial (\(t_2<M/3\sqrt{3}\)), critical (\(t_2=M/3\sqrt{3}\)) and non-trivial (\(t_2>M/3\sqrt{3}\)) phases at K and \(K'\) valleys.