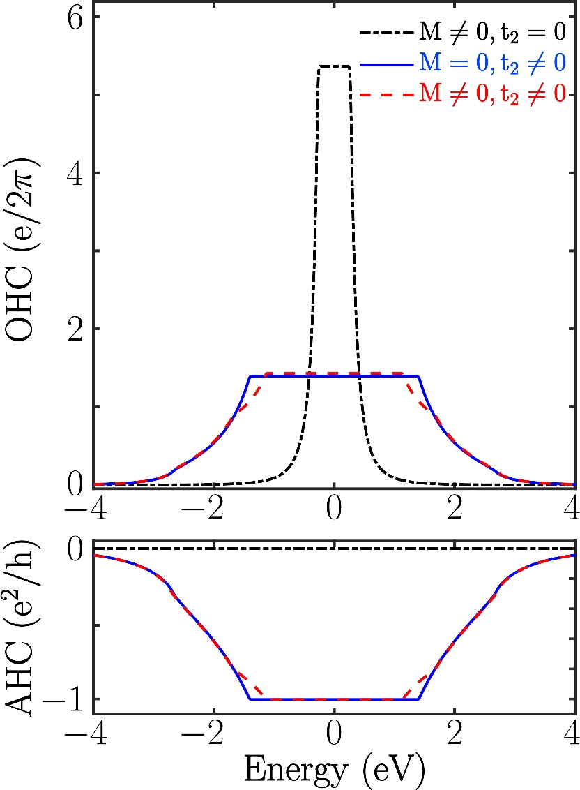
Fig. 8
From: Orbital Hall conductivity in a Graphene Haldane and Haldane Haldane bilayers

Orbital Hall conductivity (OHC) and anomalous Hall conductivity (AHC) for the three symmetry breaking cases, where top one represent the OHC in unit of \(e/2\pi\) and bottom one represent the AHC in units of \(e^2/h\). The black color line corresponding only inversion symmetry breaking (\(M=0.1t_g\)), blue line and red line corresponding time-reversal symmetry breaking with \(t_2=0.1t_g\) and both the symmetry breaking with \(M=0.1t_g\), \(t_2=0.1t_g\) respectively.