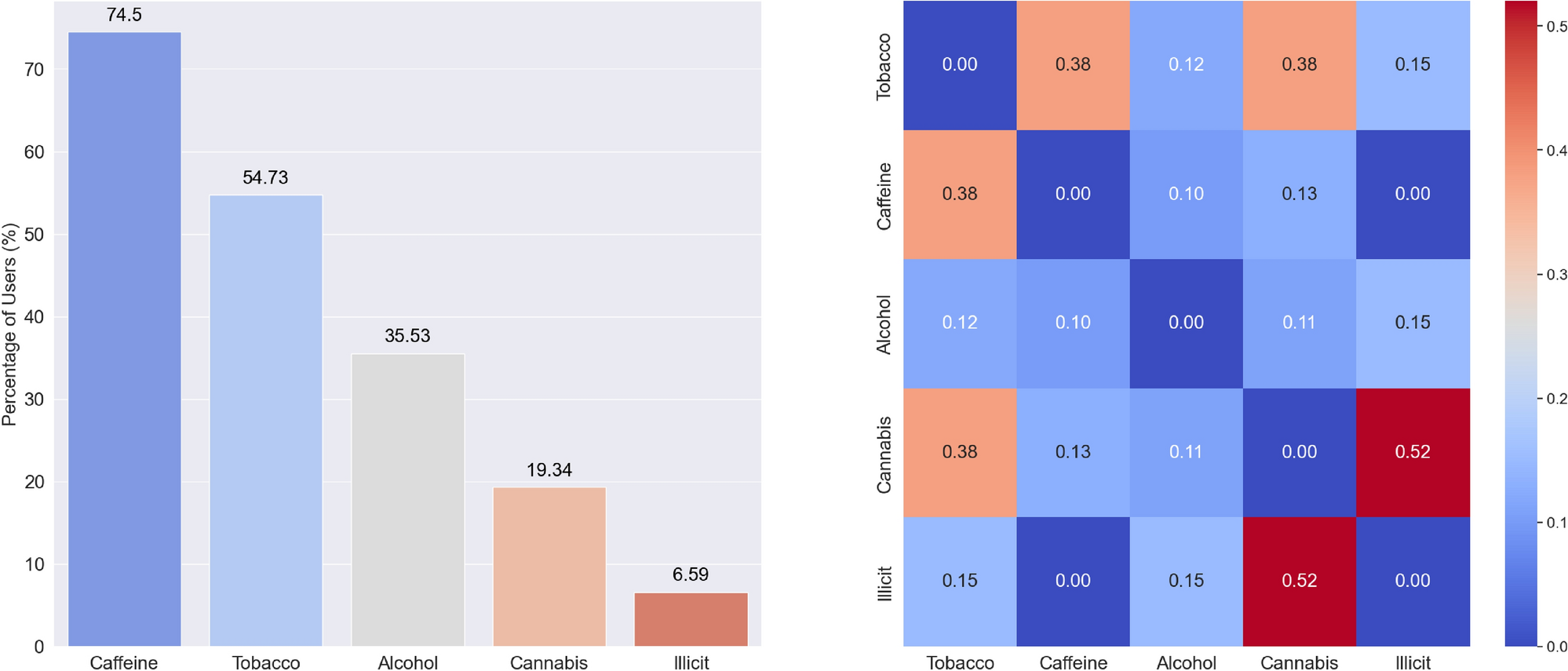
Fig. 2

Overall Prevalence of substance use (left) and Cramér’s V heatmap of substance use variables (right). Autocorrelations in heatmap set to zero for sake of visualization.

Overall Prevalence of substance use (left) and Cramér’s V heatmap of substance use variables (right). Autocorrelations in heatmap set to zero for sake of visualization.