Fig. 7
From: Judgment of crowds as emotional increases with the proportion of black faces

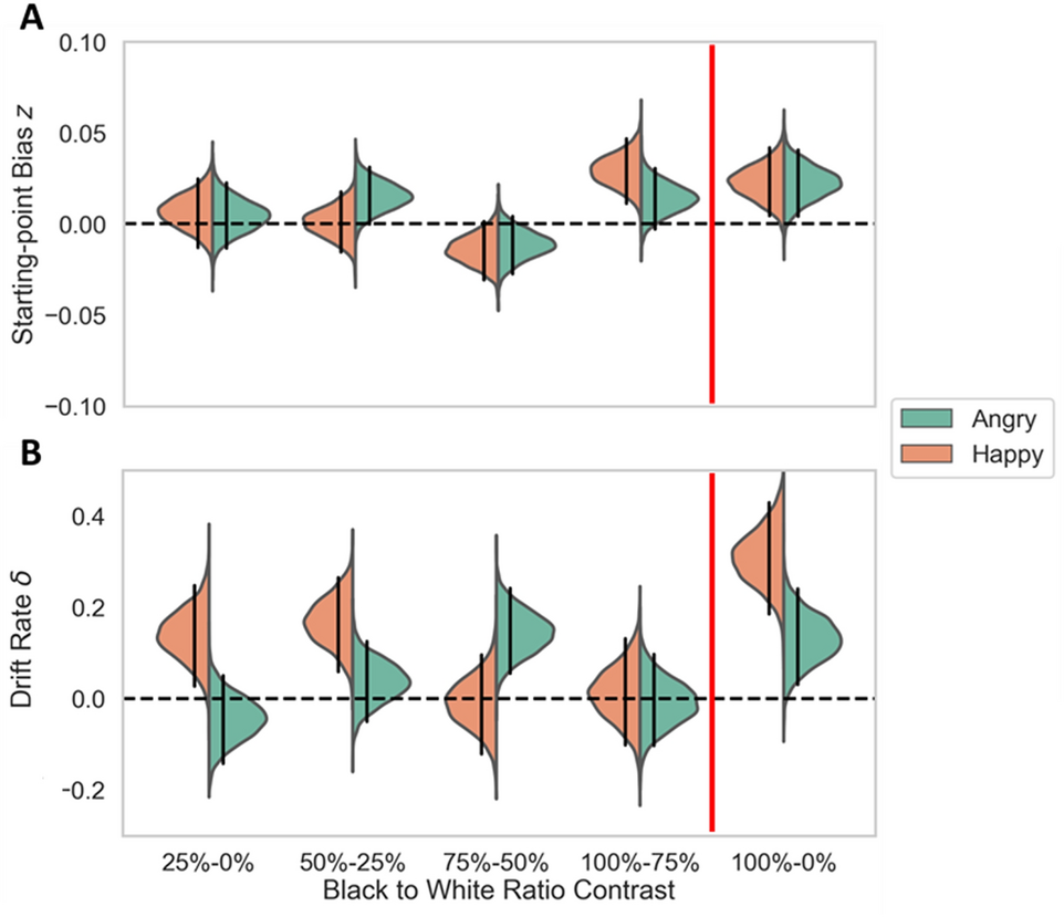
Posterior predictive density plots for Experiment 3 simple effects of race ratio on starting-point bias (A) and drift rate (B) for Happy and Angry crowd-emotion valences. Vertical black bars are the 95% most credible values for the mean difference between race conditions. With the exception of the contrast between the Happy valence 100 and 75% Black trials, all estimates of starting-point bias contained the null-point value, suggesting that starting-point bias did not differ linearly across race proportions. That said, a small global effect of race on starting-point bias was observed when contrasting the 100 and 0% Black trials. Drift rate steadily increased with Black to White ratio for Happy valence trials, up to Black majority where the effect saturated. For Angry valence trials, drift rate became more positive after reaching Black majority, but not before.