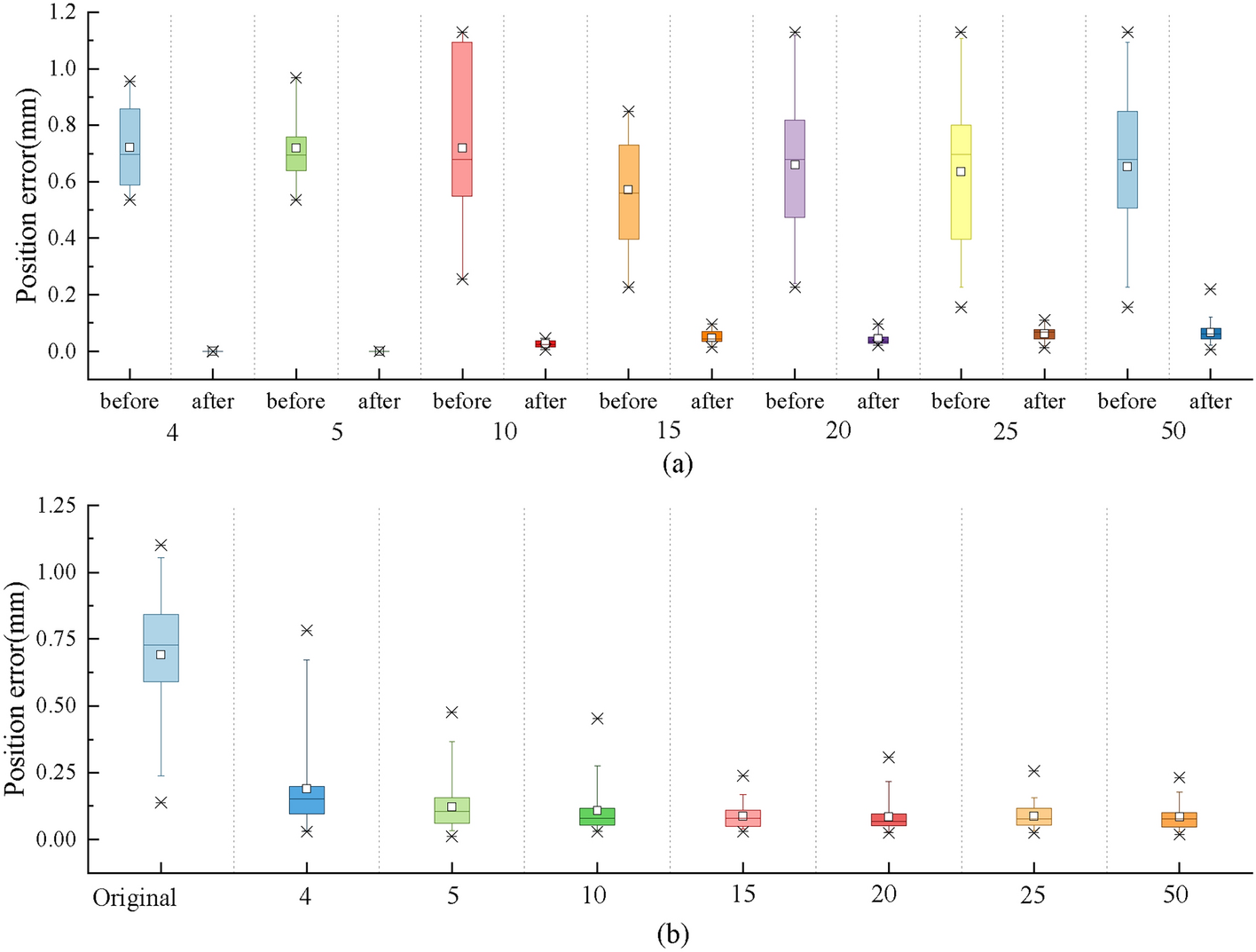
Fig. 7

The identification results with the varied pose number in the RLS algorithm. (a) Identification dataset. (b) Verification dataset.

The identification results with the varied pose number in the RLS algorithm. (a) Identification dataset. (b) Verification dataset.