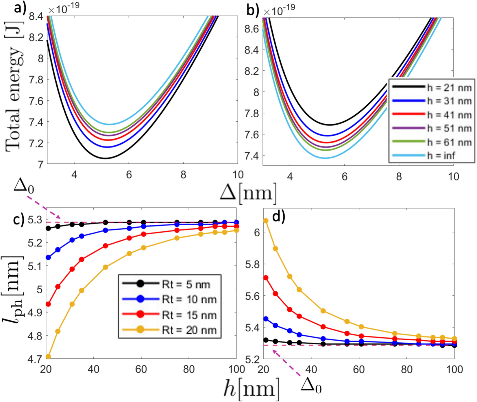
Fig. 3

(Upper panel) Total energy of the magnetic stripe as a function of the DW width \(\Delta\) for different distances of separation with \(R_\text {t}=10\) nm and considering (a) \(\mathbf{m}_t = -\hat{k}\) and (b) \(\mathbf{m}_t = +\hat{k}\). Note the difference in the horizontal scales. (Lower panel) Physical length \(l_{\text {ph}}\) as a function of the distance of separation for different tip radii and considering (c) \(\mathbf{m}_t = -\hat{k}\) and d) \(\mathbf{m}_t = +\hat{k}\). The pink dashed line stands for the specific DW width \(\Delta _0\) in the absence of the magnetic tip.