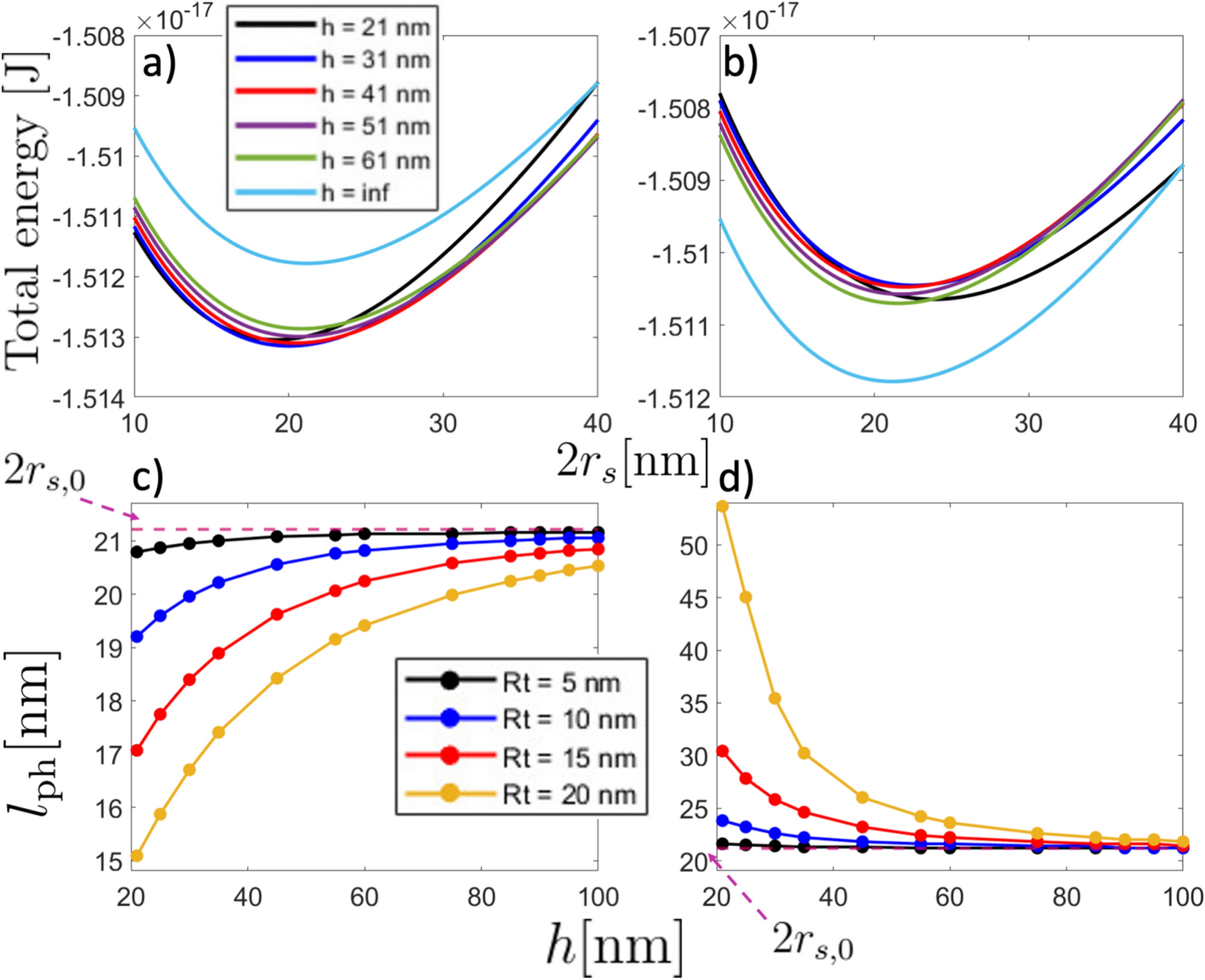
Fig. 4

(Upper panel) Total energy of the magnetic nanodot hosting a skyrmion as a function of the skyrmion diameter \(2r_\text {s}\) for different distances of separation with \(R_\text {t}=10\) nm and considering (a) \(\mathbf{m}_t = -\hat{k}\) and (b) \(\mathbf{m}_t = +\hat{k}\). (Lower panel) Physical length \(l_{\text {ph}}\) as a function of the distance of separation for different tip radii and considering (c) \(\mathbf{m}_t = -\hat{k}\) and (d) \(\mathbf{m}_t = +\hat{k}\). The pink dashed line pointed by the dashed arrow stands for the specific skyrmion diameter \(2r_\text {s,0}=21.1\) nm in the absence of the magnetic tip.