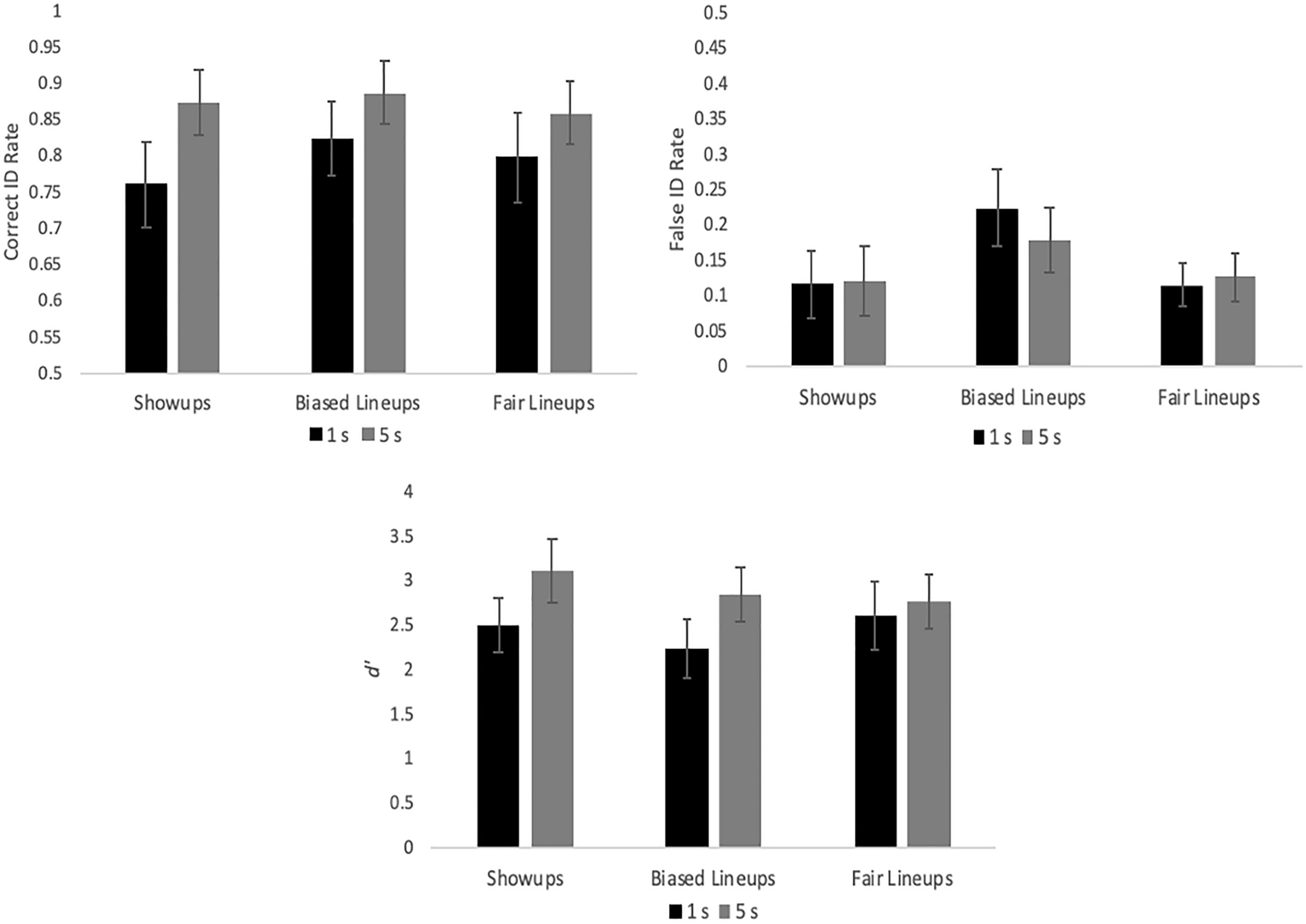
Fig. 4

Correct ID rate (top left), false ID rate (top right), and discriminability (bottom), with 95% confidence interval bars, from Experiment 1.

Correct ID rate (top left), false ID rate (top right), and discriminability (bottom), with 95% confidence interval bars, from Experiment 1.