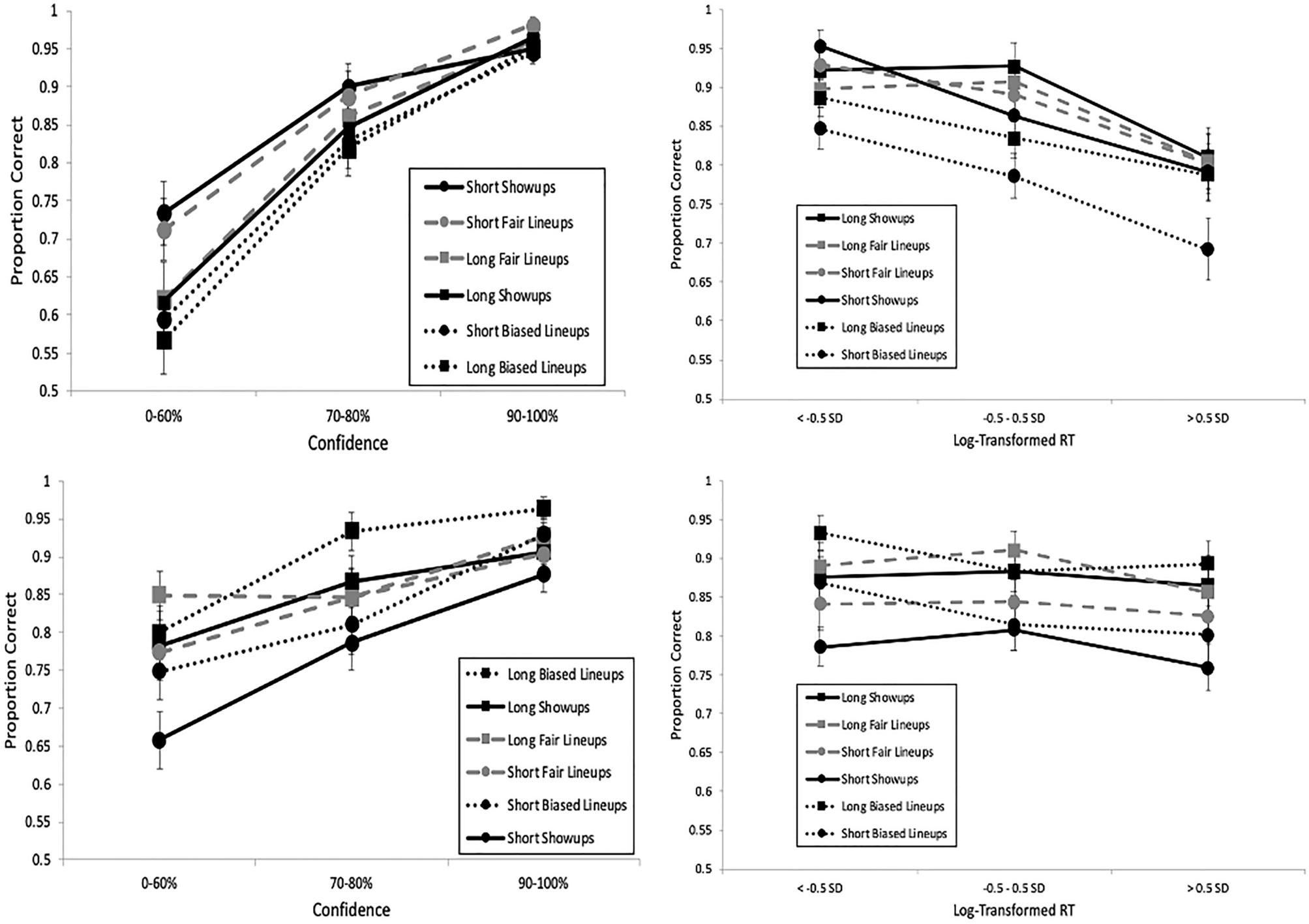
Fig. 6

CAC (left panels) and RAC curves (right panels), with standard error bars, from Experiment 1. In the top row, proportion correct is based on identifications (correct/[correct + false IDs]), and in the bottom row it is based on rejections (correct rejections/[correct rejections + incorrect rejections]). “Long” indicates an encoding time of 5 s; “Short” indicates an encoding time of 1 s.