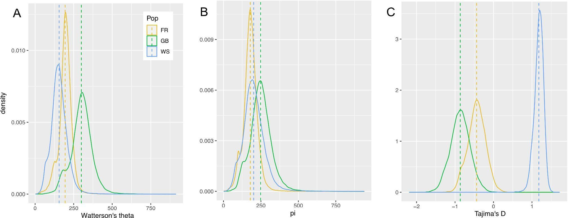
Fig. 4
From: Museomics of an extinct European flat oyster population

Genome-wide genetic diversity. Density distributions of sliding window estimates. A: Watterson’s theta, B: π, C: Tajima’s D. Dashed lines show the mean values. Abbreviations: FR = France, GB = England, WS = Wadden Sea.