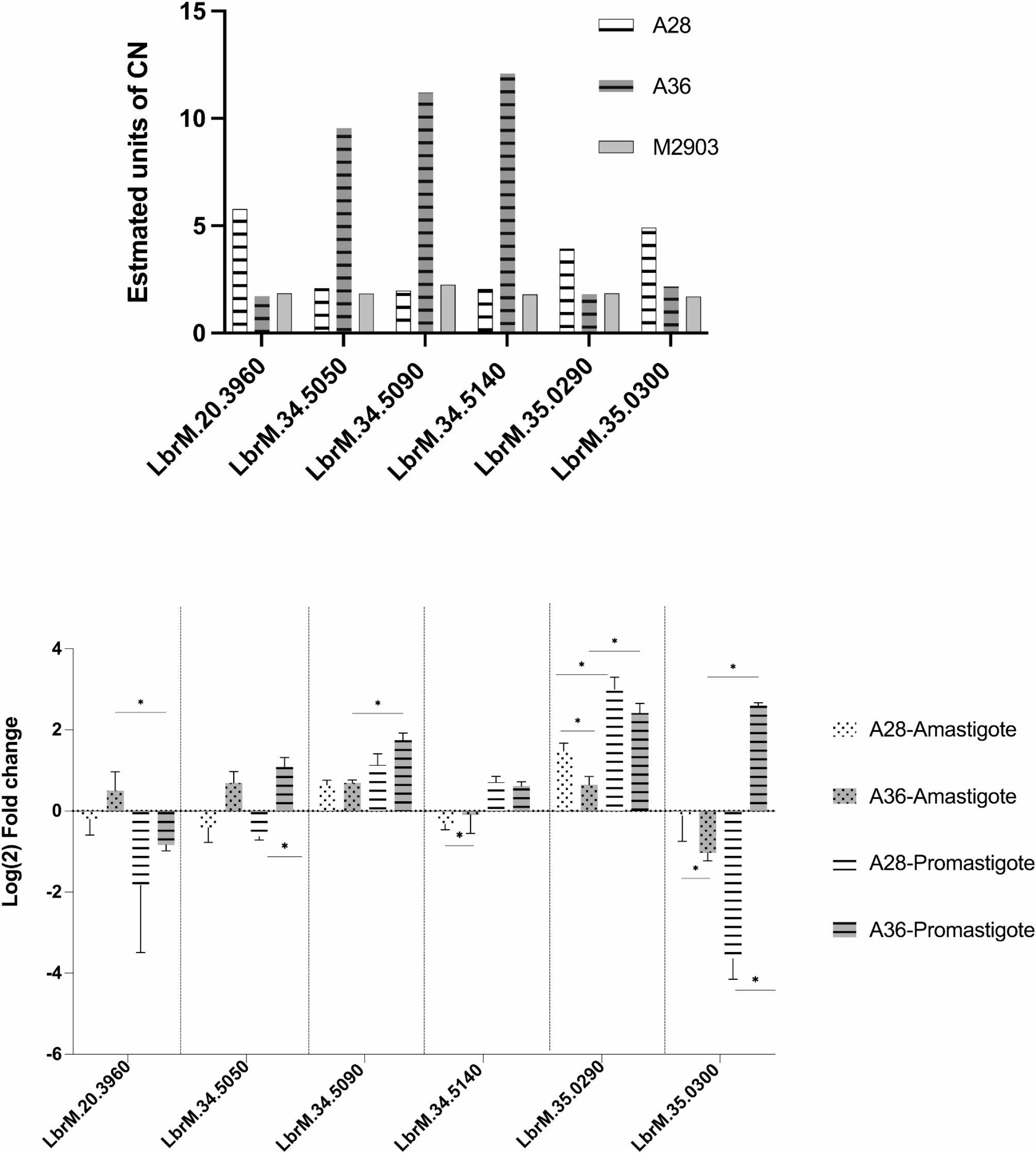
Fig. 4

Expression analysis of randomly selected genes from duplicated genomic regions on chromosomes 20, 34, and 35 in clinical isolates with higher tolerance to AmB (A28 and A36). (A) Estimated copy number of genes per genome for each isolate. (B) Levels of mRNA of randomly selected genes embedded in duplicated regions were evaluated for each life cycle stage by RT-qPCR. Expression values are presented as the Log2 of the 2(−)∆∆CT to estimate the fold change regarding M2903. The gene encoding for actin was used as the normalizer.