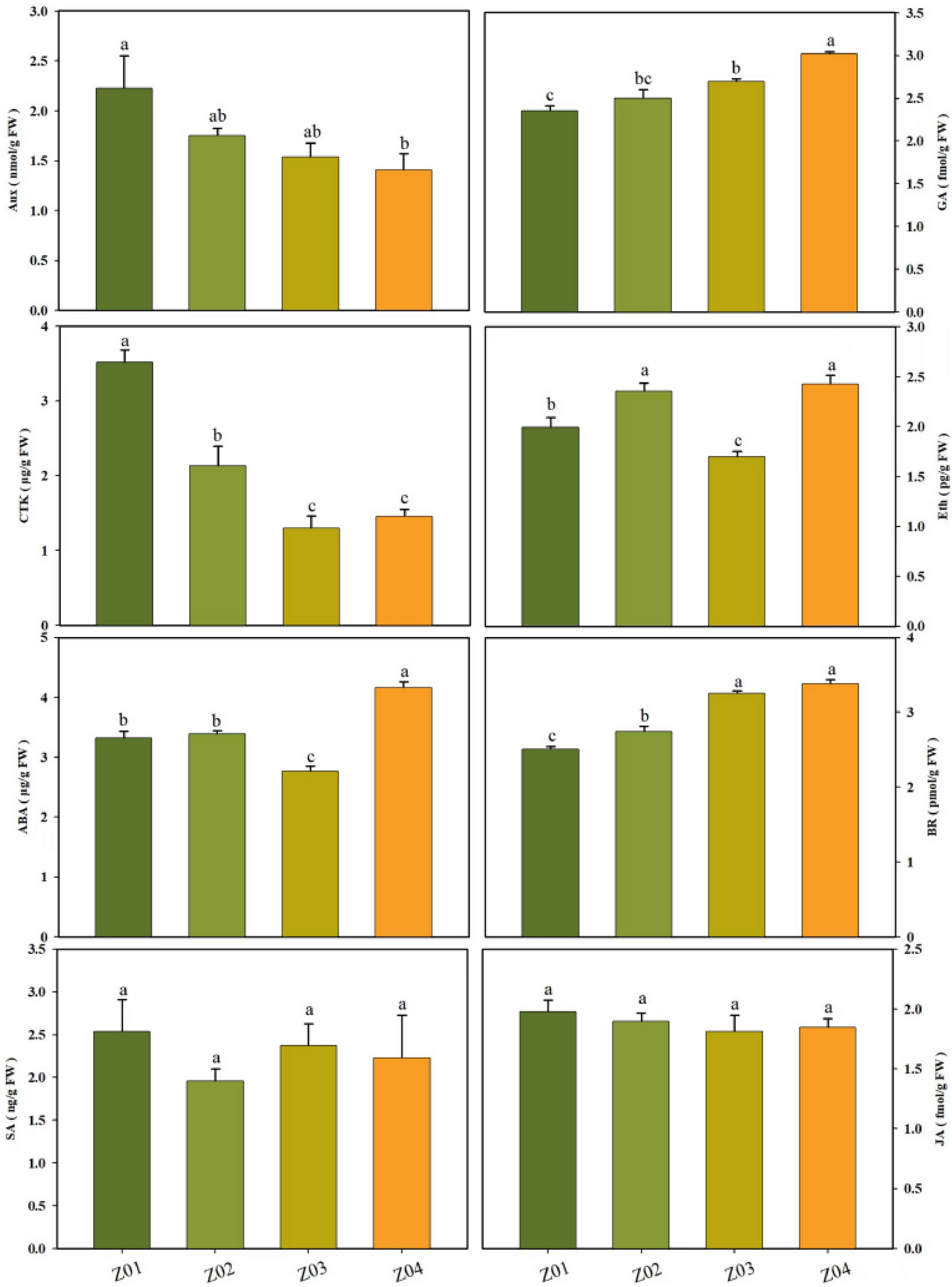
Fig. 2

Endogenous hormone contents of loquat fruits at different developmental stages. Different letters on the bars indicate significant differences at P < 0.05.

Endogenous hormone contents of loquat fruits at different developmental stages. Different letters on the bars indicate significant differences at P < 0.05.